
晶体振荡器直接调频电路?
今天电子发烧友网与大家一起来研究晶体振荡器直接调频电路:
变容二极管(对LC振荡器)直接调频电路的中心频率稳定度较差。为得到高稳定度调频信号,须采取稳频措施,如增加自动频率微调电路或锁相环路(第8章讨论)。还有一种稳频的简单方法是直接对晶体振荡器调频。
(a)实际电路;(b)交流等效电路
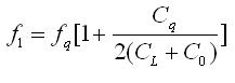
a)为变容二极管对晶体振荡器直接调频电路,图(b)为其交流等效电路。由图可知,此电路为并联型晶振皮尔斯电路,其稳定度高于密勒电路。其中,变容二极管相当于晶体振荡器中的微调电容,它与C1、C2的串联等效电容作为石英谐振器的负载电容CL。此电路的振荡频率为:

特点: 石英晶体工作于感性区,振荡频率介于晶体的串联振荡频率和并联振荡频率之间,其相对频偏很窄,只有10-3~ 10-4 。
扩大频偏的方法:A、在晶体两端并联小电感,该法简单有效,但扩展范围有限,同时会使中心频率稳定度下降;
B、利用π型网络进行阻抗变换;
C、在调频振荡器的输出端增设多次倍频和混频的方法,该法不不仅满足了载频的要求,也增加了频偏。
欢迎分享,转载请注明来源:内存溢出
微信扫一扫
支付宝扫一扫
评论列表(0条)