
变容二极管直接调频电路
现在电子发烧友网与大家一起学习变容二极管直接调频电路:
(1) 变容二极管调频原理
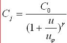
变容二极管结电容Cj与在其两端所加反偏电压u之间存在着如下关系:
式中C0为变容二极管零偏时的电容,uφ为变容二极管PN结的势垒电位差,为结电容变化指数。
2) 变容二极管直接调频性能分析
下面分两种情况讨论。
(1)Cj为回路总电容。图7-13为一变容二极管直接调频电路,Cj作为回路总电容接入回路。图7-13(b)是图7-13(a)振荡回路的简化高频电路。
由此可知,若变容管上加uΩ(t),就会使得Cj随时间变化(时变电容),如图7-14(a)所示,此时振荡频率为:


图7-14 变容管线性调频原理

图7-19 变容二极管直接调频电路举例?
(a)实际电路;(b)等效电路 
欢迎分享,转载请注明来源:内存溢出
微信扫一扫
支付宝扫一扫
评论列表(0条)