
当信号通过 PCB 导体从信号源向负载传输时,由于走线电阻和介电损耗,信号会发生衰减,从而导致能量损失。
当高速信号在电路板上传播时,信号衰减是最普遍的术语。它是导致信号完整性问题的信号衰减的主要因素之一。
什么是信号衰减?

信号衰减随着频率的增加而增加。
信号衰减是信号通过传输介质传播时信号强度(幅度和强度)降低的量度。它是电信应用中的一个重要属性,因为它计算信号强度作为距离的函数。
当发送器提供的信息在接收器解码时保持不变时,可以实现无损信号传输。应满足足够的阈值水平以从信号中提取正确的信息。
信号衰减如何计算?
信号衰减以每单位传输介质长度的分贝 (dB) 为单位进行估算。它可以根据功率 (A p ) 和电压 (A v ) 来计算。
为了避免衰减的机会,发射器发送多个信号以确保至少一个信号到达最终目的地,即接收器。但是由于需要发送这些额外的信号,这种做法会降低整体网络速度。

这里的:
P s:是源端的信号功率
P d:是负载处的信号功率
V s:是源端的信号电压
V d:是负载上的信号电压
衰减越低,传输介质的效率就越高。更高的衰减意味着在接收器侧有更多的信号损失和降低的幅度。
衰减因子或衰减系数
衰减因子决定了信号可以传播的距离,并且仍然提供足够的数据位或信息。它根据传输信号的幅度如何随频率降低来量化不同的传输介质。它由以下给出:
AF = P输出/P输入
信号衰减系数取决于:
传输介质长度
传输介质材料
身体状况
传输线中的信号衰减
在传输线中,衰减损耗是两种损耗的合并:导体损耗和介电损耗。导体损耗是由于存在不完美的导电性和迹线电阻,而介电损耗是由于介电材料而存在。
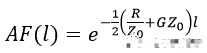
长度为“l”的传输线的信号衰减因子由下式给出:

以 dBs 为单位,信号衰减表示为:

它也可以表示为每单位长度的dB损耗,即:

注意:忽略减号,记住这是一个 dB 损失。
上式表示传输线单位长度的总插入损耗,写为:

R/Z0是与单位长度走线电阻 R 成正比的损耗分量,称为导体损耗。用α C表示。分量 GZ 0与 G(介电材料的电导)成比例,称为介电损耗。它由α d表示。

另外,请阅读我们关于PCB 传输线损耗的文章。
与导体损耗相比,介电损耗可以忽略不计。高达 20GHz 时,与PCB 材料(即 FR4)相关的损耗角正切不会发生明显变化。这是介电损耗曲线与频率几乎成一条直线的主要原因。PCB中发射器和接收器之间的距离通常小于1m。因此,可以假设介电损耗在频率上是恒定的。作为传导损耗和介电损耗的总和,总损耗主要是传导损耗。
电路板设计中使用的FR4 材料的损耗角正切约为 0.003。
为什么信号到达走线端时会衰减?

信号的幅度随着它沿传输介质传播而减小。
信号的幅度会因走线电阻和电路板电介质的耗散因数而失真。由于信号倾向于沿迹线表面传播,因此该效应在高频时更为突出。衰减会导致信号上升时间变慢并增加数据错误的可能性。
高频传输通道使接收器难以解释实际信息。由于传输介质的影响,会发生以下传输损耗:
介电吸收:当高频信号在电路板表面传播时,介电材料会吸收信号能量。它降低了只能通过选择完美的PCB材料来控制的信号强度。选择具有低损耗正切的材料以减少介电吸收。
趋肤效应:趋肤效应是一种现象,由于高频分量开始传播到更靠近电路板导体的外部而不是内部。高频信号还负责生成具有不同电流值的波形。此类信号具有其自感值,随着频率的增加,它会引发增加的感抗。它负责减少 PCB 表面的导电面积,导致信号幅度更大的电阻和衰减。可以通过增加走线宽度(表面积)来减少趋肤效应,但这并不总是可行的,因为改变走线几何形状可能会导致阻抗问题。

由于高频元件,PCB 中的集肤效应。
是什么导致PCB中的信号衰减?
随着信号范围的增加,衰减也会增加。下面列出的因素是造成信号衰减的原因:
噪声源:射频频率、泄漏电流和电流干扰信号导致衰减。更多噪音,更多衰减!
发射器和接收器之间的距离:当信号穿过更长的距离时,其强度会降低。两点之间的距离越大,衰减越高。
走线宽度:信号通过更宽的走线时衰减较小。
串扰:附近走线中的串扰也是造成信号衰减的原因。
导体和连接器:当信号通过不同的导电材料和连接器表面时,它会受到衰减。
传输频率:波长越短的无线电波衰减越大。此类信号通过 2.4GHz 或 5GHz 电磁波传输。电磁波具有高频率和短波长。因此,无线电信号衰减大,不能长距离传输。
与导体材料相关的电阻损耗:用于制造传输线的导电材料(如铜)会引入电阻损耗,导致在铜迹线上传播的信号衰减。
与介电材料相关的损耗:夹在传输线之间的介电材料中的损耗会引入介电损耗。这种介电损耗在衬底上形成电导,也称为反向电阻,并吸收部分传播的信号能量,导致信号衰减。
铜表面粗糙度:PCB 上的铜表面粗糙度也可作为信号传播的阻力。粗糙的铜迹线会增加电阻,因为铜表面的形貌会使信号上下移动。表面尖峰也会增加电容。光滑的铜是解决这个问题的方法,但成本更高。

信号根据表面轮廓跟随每个波峰和波谷,增加了路径长度和电阻,从而导致衰减。
接地回路电阻:随着频率的增加,接地回路变窄,使用较少的铜面积,导致电阻增加。
另请阅读,如何减少 PCB 布局中的寄生电容?
如何减少信号衰减?
采用以下技术可以减轻信号衰减:
使用中继器:如果接收信号较弱,则使用中继器通过减少衰减来重新生成原始信号。它还增强了信号的范围,使其可以传输更长的距离而不会失败。
使用放大器: 如果接收到的信号很弱,则使用放大器来增加其幅度,这与重新生成整个信号的中继器不同。
正确的材料选择:仔细选择低损耗介电材料和低电阻走线可以最大限度地减少信号衰减。
使用可编程差分输出电压 (VOD) 设置:可编程 VOD 确保驱动强度与线路阻抗和走线长度同步。增加驱动器处的 VOD 可增强接收器处的信号。
预加重:使用放大器提高信号强度并不是衰减控制的唯一解决方案,因为它还会放大相关的信号噪声和抖动。预加重仅通过增加第一个传输符号的电平来增强信号的高频分量。如果后续符号级别以相同级别传输,则它们将保持不变。例如,如果一个信号传输三个符号的高电平,则只有第一个符号被加强。接下来的两个符号将以通常的电平传输。

预加重两个单位间隔。
6. 接收器均衡:当信号到达接收器时,均衡电路会衰减信号的低频分量以恢复传输线损耗。
使用 VNA 进行信号衰减测量
矢量网络分析仪 (VNA) 用于执行频域分析,因此也进行衰减分析。它具有高动态范围,对于识别信号完整性问题的实际原因非常有用。换句话说,它是一种出色的测试和测量工具,可用于了解导致高数据速率系统中眼图闭合的原因。
Anritsu ME7838G 系列矢量网络分析仪。
VNA 具有较宽的频率带宽,可实现宽至 70kHz 至 145GHz 的通道表征。这种宽带宽可以通过包含多个谐波并提供低端频率来更好地进行直流外推,从而构建准确的模型。它还在时域中提供准确的分辨率,用于定位通道中的缺陷。VNA 设备有助于了解物理结构及其缺陷。
例如,对于印刷电路板,VNA 适用于分析现实世界的通道缺陷,例如超过 PCB 图、电镀和电介质厚度变化的公差。它们可用于评估连接器的性能、结构以及它们的安装情况。它们还可用于分析多层 PCB 叠层并发现不完美的过孔或接地层问题。
此外,大多数信号完整性通道在表征期间使用测试夹具。VNA 具有评估这些固定装置影响的出色能力。网络提取会生成一个模型,用于减少这些固定装置的影响。去嵌入是应用模型来补贴夹具对计算结果的影响的过程。
信号衰减是迹线/导体电阻和相关介电损耗的结果,随着距离的延长和频率的提高,这些损耗会增加。可以通过改善 PCB 基板材料的介电性能和增加导体尺寸来减少它。衰减控制可以帮助设计人员实现可以在高频下无缝工作的 PCB。电路板走线的损耗可能会对传播的高速数字信号产生很小或很大的影响。
欢迎分享,转载请注明来源:内存溢出
微信扫一扫
支付宝扫一扫
评论列表(0条)