
在本教程中,我们将看到一个涉及 BJT 电源的模拟,特别关注性能和效率。使用的主要电子软件是 LTspice,这是一种高性能 SPICE 仿真软件、原理图捕获和波形查看器,具有增强功能和模型,可简化模拟电路的仿真。
更大的力量
单个齐纳二极管无法管理太多功率。为了驱动强大的负载,有必要将基极电路连接到一个强大的晶体管。在图 1 的配置中,晶体管的基极电压由 12 V 的齐纳二极管固定。R1 的值至关重要。低电阻对齐纳二极管来说是危险的,但高电阻会导致二极管工作不良。我们来看看图1中的电气原理图;它是一个 12-V 稳压器。

图 1:晶体管稳压器
以下是其一些最重要的功能:
电源电压:24 V (V1)
向齐纳二极管和晶体管 (R1) 基极提供电流的电阻器
齐纳二极管 1N4742A (D1)
功率晶体管2N3055(Q1)
5 Ω (R2) 的电阻负载
齐纳二极管1N4742A的SPICE子电路如下:
.SUBCKT DI_1N4742A 1 2
* 终端 AK
D1 1 2 DF
DZ 3 1 博士
VZ 2 3 10.9
.MODEL DF D (IS=34.3p RS=0.620 N=1.10 CJO=94.2p VJ=1.00 M=0.330 TT=50.1n)
.MODEL DR D (IS=6.87f RS=0.550 N=1.49)
.ENDS
如图 2 所示,电路的瞬态仿真显示以下通过组件的电流值:
通过电池 V1 的电流:2.31 A
通过电阻器 R1 的电流:117.44 mA
通过齐纳二极管 D1 的电流:21.63 mA
通过晶体管 Q1 基极的电流:95.82 mA
通过晶体管 Q1 集电极的电流:2.19 A
通过晶体管 Q1 发射极的电流:2.29 A
通过负载 R2 的电流:2.29 A

图 2:通过组件的电流
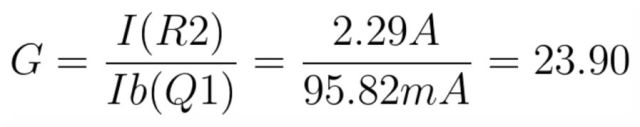
晶体管的 Beta
在这种配置中,晶体管是一个电流倍增器。集电极上的电流等于基极电流乘以 2N3055 的 hFE。在2N3055的datasheet中,hFE值在20到70之间。在我们的例子中,除法的结果:

表示目前的收益约为 23.90。您可以通过在 LTspice 接线图中插入以下 SPICE 指令来获得相同的结果:
.meas TRAN 增益平均值 I (R2) / Ib (Q1)
该电路的效率很低,约为47.21%。电阻器 R1、齐纳二极管和晶体管 2N3055 上的热量会损失大量功率,必须通过良好的铝散热器适当冷却。使用以下公式计算效率:

您还可以通过在 LTspice 原理图中插入以下 SPICE 指令来计算效率:
.meas TRAN EFF AVG (V(Out)*I(R2))/(V(In)*-I(V1))*100
一些备注
齐纳二极管 1N4742A 的数据表指出其工作电流 I(zr) 必须约为 21 mA。电阻器 R1 将这个电流调节到正确的值。齐纳管的功耗约为 260 mW。R1 的功耗很重要,约为 1.4 W。晶体管的功耗约为 27.5 W。电路虽然很热,但运行正常。齐纳二极管阴极的电压为 12 V(黄色信号)。为负载供电的电路的输出略少,为 11.4 V(绿色信号)。为什么?必须计算压降 Vbe,硅晶体管的电压降约为 0.6 V(图 3)。

图 3:电压 Vbe 使稳压器输出电压降低 0.6 V。
参数的扫描
对某些 *** 作参数运行一些扫描模拟非常有趣。让我们开始改变输入电压,范围在 12 V 和 24 V 之间。如您所见,输出电压不稳定,但很大程度上取决于 V1 的值(图 4)。

图 4:直流扫描仿真
关于这种类型的模拟,在图 5 中,我们可以看到齐纳二极管和晶体管基极的电流趋势。查看此图,我们可以说齐纳二极管在电源电压约为 23-25 V 时开始执行其“任务”。

图 5:通过齐纳二极管和晶体管基极的电流
现在让我们尝试 7 Ω 和 20 Ω 之间的不同负载 (R2) 值。我们可以检查电路如何响应各种阻抗,最重要的是,我们可以验证其效率。要通过尝试不同的负载值来执行仿真,我们可以插入 SPICE 指令:
.step 参数加载 7 20 0.5
在图 6 中,我们可以观察到输出电压的曲线图,这取决于负载 R2 的不同值。在任何情况下,它都在 11.543 V 和 11.665 V 之间。

图6:负载R2变化时的输出电压
不同的负载值产生下表:
图 7显示了相对图。

图 7:改变负载的电路效率
审核编辑:刘清
欢迎分享,转载请注明来源:内存溢出
微信扫一扫
支付宝扫一扫
评论列表(0条)