
1 引 言
国外航空静止变流器目前已经系列化,单相静止变流器从50VA~6KVA有20个功率等级,三相静止变流器从150VA~12KVA有11个功率等级,其中基本模块有6个,最大功率为1kVA,功率密度为6.1kg/kVA。许多功率等级的产品,尤其是大于1kVA的产品多采用由几个基本模块构成的模块方案。目前国内的航空静止变流器仅有三个品种,最大功率为1kVA,大于1kVA的仍然使用旋转变流器,且不能并联工作,与先进国家差距较大。
航空静止变流器的模块化及系列化设计可以有效地提高系统的通用型、可靠性、可维护性及可扩展性。采用多个电源模块并联组合成大功率电源是实现电源高可靠性的关键,本文在成功研制1kVA高频软开关航空静止变流器模块的基础上,进一步研究了由多个单相模块组合成大功率航空静止变流器的方案。实验表明,采用模块并联方案具有简单可靠、效率高、体积小等优点,对提高航空静止变流器的可靠性、可维护性和通用性具有重要意义。
2 系统构成及工作原理
3kVA高频软开关航空静止变流器采用3台1kVA 27VDC/115V 400Hz单相DC/AC航空静止变流器模块并联构成(见图1)。3台航空静止变流器模块均为电压、电流双环控制,通过公用电压调节器稳定并联系统的输出电压及频率,同时产生统一的模块电流给定信号,各并联模块工作于电流跟踪壮态,从而实现各航空静止变流器模块的均流并联。该方案简单可靠,模块间仅有一条电流给定线连接,不需要输出隔离变压器以及复杂的均流控制电路,因此体积小、重量轻。

图1系统构成及工作原理框图
2.1 1kVA单相软开关航空静止变流器模块的构成及工作原理

图2 单逆变模块主电路拓扑图
控制电路采用电压外环+电流内环的双环控制方案,该方案可以在保证系统稳定性的同时自动达到限制电流的目的。经过分析发现,传统双环控制两态调制方案,电感电流变化较大,逆变桥开关损耗大。为此,引入三态控制方式,即在电感电流与电流给定误差小于滞环上限且大于滞环下限时,开通V7、V9使电感处于自然续流状态,只有当误差大于滞环上、下限时才进入两态调制,这样就可以有效地减少开关管的切换次数(每周期69~71次),提高了变换器的效率,同时减小了输出能量的回馈。
该静止变流器模块的DC/DC电路采用有源箝位技术,DC/AC采用零电压开关技术,效率较高(额定阻性负载时为83.1%,其中DC/DC为89.2%,DC/AC为93.2%,THD为0.894%,功率密度为5.3kg/kVA)。
2.2 3kVA单相航空静止变流器的构成及工作原理
3kVA单相航空静止变流器由3块1kVA逆变模块并联构成(见图3)。并联控制电路采用公用电压外环方案,即由一个公用电压调节器作为外环用来调节航空静止变流器的输出电压,它的输出信号ig为各模块的电流内环的给定输入信号,由于电流内环可以等效为一比例放大环节,等效放大倍数为电流环反馈系数的倒数。因此,当各模块的电流内环反馈系数Kin相等时,各模块的滤波电感电流相等,从而实现了并联航空静止变流器模块的均流。

图3共用电压调节器航空静止变流器并联系统框图
2.3 并联系统的环流分析
图4为两台航空静止变流器模块并联系统的输出等效电路,r1,r2分别表示航空静止变流器的输出连线的阻抗L1,C1和L2,,C2分别为航空静止变流器输出滤波电感和电容,RL为负载电阻。由图可知,存在以下关系式


图4 公用电压调节器输出等效电路
式中: Ig为公用电压调节器输出,


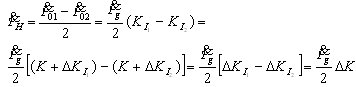
从式(2)中可看出,任一逆变模块的输出电流等于该模块的电感电流与该模块的滤波电容电流的差。由式(2)得该控制方式下两并联模块间的环流IH为

从式(2,3)中可以看出,两台逆变模块的输出电流以及两台逆变模块间的环流由两个分量组成:(1)由于两逆变模块的电流放大倍数差而引起的环流;(2)由于两台逆变模块的输出滤波电容的差异而引起的环流。
(1)当


其中:△C=△C1-△C2。从式(4)中可以看出当两台逆变模块的输出滤波电容不相等时会在两逆变模块间产生环流,这一环流正比于两滤波电容的差△C。
(2)当C=C1=C2,令


其中:

综合(1)与(2)分析可知:在共用一个电压调节器的多电流模块并联系统中,欲使各模块均分负载电流,必须减小各逆变模块间在电流反馈环节、输出滤波环节上参数的差异。
2.4 并联系统动、静态分析
假设3个模块的输出滤波电感和输出滤波电容相等,各电流环的放大倍数,输出线路阻抗均相等,即:L1=L2=L3=L,C1=C2=C3=C,r1=r2=r3=r,

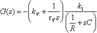
假设单逆变模块的负载为R,电压环的放大倍数为k,积分时间常数为rV,可得单逆变模块的正向通道传递函数为

反馈通道传递函数为H(s)=Kv (7)
单逆变模块的输入输出传递函数为

n个单逆变模块并联后,并联系统的正向通道传递函数为

由于是共用电压环,因此,反馈通道传递函数不变
H′(s)=Kv=H(s) (10)
并联系统的输入输出传递函数为

比较式(6,9)和式(8,11),n个模块并联系统的负载为nR时的正向传递函数和输入及输出传递函数与单模块负载为R时完全一致,即n模块并联系统动、静态特性与相应n分之一功率输出的单模块的动、静态特性完全一致。因此,并联系统的动、静态特性较单模块有所提高,输出功率增加了n倍:P0′=nP0。
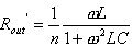
单逆变模块逆变器的等效输出阻抗为

并联系统的等效输出阻抗为

由此可见,与单模块相比,并联系统的放大倍数提高,输出阻抗减小,外特性变硬。并联系统空载时输出电压与单模块相同,在相同负载条件下,输出电压下降量减少。系统的输出功率与并联模块数量成正比。
3 3kVA 27VDC/115V 400Hz航空静止变流器调试与实验结果
经过上述分析,用Saber仿真软件进行了仿真,结果与分析结果一致。并联运行前,将3台航空静止变流器的电流环的反馈系数和输出滤波参数调整至基本一致。逆变器控制参数为:kvf=0.034,kv=12.14, ,ki=1.471。以下为实验结果:
输入电压:20VDC~30VDC,输出功率:3000VA,输出电压:115V±3%,输出频率:400Hz±0.1%,输出失真度:≯2%,整机效率:≮82%。
表1给出了该系统在输入直流母线电压为额定电压27V时,负载分别为阻性和感性情况下的实验数据。

图5给出系统在阻性额定负载(3KW),航空静止变流器输出电压U0和3个逆变模块的输出电流i01,i02,i03的波形。(不均衡度优于1.31%)。图6给出系统在感性额定负载(3KWA)(cosφ=0.766),航空静止变流器输出电压U0和3个逆变模块的输出电流i01,i02,i03的波形。(不均衡度优于0.09%)。

图5 阻性额定负载下,逆变器输出电压及各模块输出电流波形
说明::图5中Ch1为输出电压U0(250/格),Ch2为模块1的输出电流i01(10A/格);Ch3为模块2的输出电流i02(10A/格),Ch4为模块3的输出电流i03(10A/格);时基为1ms/格。

图6 感性额定负载下,逆变器输出电压及各模块输出电流波形
说明:图6中Ch1为输出电压U0(50V/格)时基为500μs/格,Ch2为模块1的输出电流i01(10A/格),Ch3为模块2的输出电流i02(10A/格),Ch4为模块3的输出电流i03(10A/格)。
从上述实验数据和波形可以看出::利用该种方法实现航空静止变流器并联,对于阻性负载及感性负载具有较好的均流性能,不均衡度优于2%。
在本系统中,由于所有并联模块都跟踪统一的电流给定,保证了各模块的电流相位和幅值均能一致,。因此,并联模块间的均流精度较好,并且,在突加突卸负载时,整个系统都能保持稳定,并联模块间的均流精度不受影响。另一方面,由于所有并联模块均为电流型模块,插入及拔出系统时对系统的输出电压影响很小,因此,该系统的热拔插设计较电压型模块的并联热拔插设计要方便得多。同时,可以采用文献5中的分散逻辑方案实现控制冗余。
4 结 论
本文对基于主从控制的电流控制型逆变器并联系统进行了研究,经过分析和实验可以得出以下结论:
(1)对基于电压、电流双闭环控制的逆变器,可采用公用电压环的方案构成主从式并联系统;
(2)公用电压环的方案构成主从式并联系统动静态特性较单模块有所提高;
(3)电流瞬时控制提高了系统的动态响应速度,输出电压的失真小;
(4)并联系统的输出阻抗变小,输出功率与并联模块数量成正比;
(5)模块间环流的大小与各模块的电流环放大倍数以及输出滤波电容的误差成正比。保证各模块的电流环放大倍数以及输出滤波电容一致,便能很好实现各模块间电流的均分;
(6)并联模块数的增加并不影响各模块的均流精度,因此这种控制方式没有限制并联模块数量,能方便地实现电源系统的扩容和冗余,有很好的应用前景。
欢迎分享,转载请注明来源:内存溢出
微信扫一扫
支付宝扫一扫
评论列表(0条)