
传统的小波阈值图像去噪方法可以去除图像的部分噪声,有较好的效果,但是由于阈值函数和阈值选取方式自身存在的问题,设置的阈值并不能完全去除图像噪声,还会由于阈值函数的问题而使去噪后的图像视觉效果不佳,这就需要对目前的阈值函数和阈值选取方式进行改进,得到可以更好地去除图像噪声的小波阈值去噪方法。
1.1、阈值函数的改进
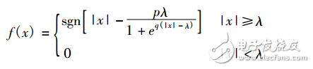
前面提到的两种阈值函数,软阈值函数和硬阈值函数虽然能够去除图像的得到了较广泛的应用,但是由于自身存在缺点,还是会影响图像去噪的效果。硬阈值函数的缺点是在阈值点不连续;软阈值函数的缺点是原系数和小波分解系数存着恒定的偏差。这两种阈值函数不能完全地展示出分解后小波系数的能量分布,这就限制了它的进一步应用。所以,需要寻求一种新的阈值函数使它能够在继承软阈值,硬阈值的优点的同时克服它们的缺点。这就需要阈值函数在其阈值点处连续,同时还具有高阶可导的性质,这样既能实现阈值函数阈值选取的功能又能完好的体现出分解后系数的能量分布。根据以上对软阈值和硬阈值的分析和指数函数高阶可导的特点,现在提出一种新的阈值函数,如下所示:

式中,λ为阈值。两个参数p,q在阈值函数中发挥着各自的作用,共同决定着阈值处理过程与结果,其中p∈[0,1],q≥0。该阈值函数保留了软阈值函数在小波域内具有连续性的优点,而且在|x|≥λ时具有高阶导函数。随着p,q在各自固定的取值区间内的波动,该阈值函数发挥着不同的作用。当p=0时,无论q取什么值,此阈值函数就成为了硬阈值函数;当p∈(0,1]且q=0时,此阈值函数就成为了软阈值函数;当p∈(0,1]且q→∞时,此阈值函数变成了一种类似软阈值的阈值函数,在该函数中,参数p可以调节阈值函数对小波系数的压缩程度,弥补了传统软阈值函数在这方面的不足。
由此可见,通过改变p,q的取值可以决定此阈值函数对小波系数的作用。其中,q值的改变主要确定阈值函数的趋向,是成为软阈值还是硬阈值,而p值的变化主要决定阈值函数对小波系数的作用程度。通过p,q这两个参数的共同作用,此阈值函数就变成了软阈值,硬阈值的一种推广函数,在保存了两种阈值函数优点的同时,也克服了它们在处理小波系数时的一些缺点。
新提出的阈值函数不仅在小波域内具有连续性,而且在|x|≥λ时具有高阶可导的性质,这样该阈值函数不仅继承了软阈值函数具有连续性的优点,而且还克服了软阈值在处理过程中小波系数与原系数之间存在固有偏差的缺点,同时也解决了对大于阈值的系数进行定值压缩与噪声随着小波系数增大而减少的事实不符合的问题,并通过两个参数的调节使它同时具备了硬阈值函数的性能,也就是说此阈值函数同时具备了软阈值和硬阈值的优点,使用起来更加方便、灵活,去噪效果更好。
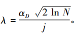
1.2、新的阈值选取方式小波阈值去噪法另一个重要的因素就是阈值的选取,阈值主要由噪声方差和子带系数的能量共同决定,一般情况下,噪声方差需要从观测数据中得出。若阈值过小,则噪声去除不完全,去噪后的图像仍有噪声残留;若阈值选取过大,会有部分信号被当作噪声被滤除,造成信号丢失,引起偏差。噪声的小波系数随着尺度的增大而减小,所以对信号进行去噪时,不同分解层阈值的选取也应该不同,并且阈值应该随着分解尺度的增加而减少。传统的阈值选取方式,包括全局阈值和局部适应阈值并没有随着分解尺度的变化而有所改变,所以针对以上要求和传统阈值选取方式在这方面的不足之处,现在提出一种新的,易实现的阈值选取方式:

式中,α为高斯白噪声的标准差,N为图像尺度,j为分解尺度。此阈值选取方式是在统一阈值基础上进行改进的,在保留了传统统一阈值中标准差α和图像尺度N在阈值上所做的贡献的同时在分母上添加了分解尺度j,使阈值随着分解尺度而改变,分解尺度越大阈值就会相应的减少,这样就比较符合经过小波分解后不同分解层的系数在对信号和噪声的比例分布上有所不同的事实。新设定的阈值在保留了原来统一阈值在阈值处理中发挥的功能的基础上,通过新增加的分解尺度可以针对小波分解中不同的分解层对各分解层的小波系数做相应不同的处理,这样可以增加阈值的实用性,减少小波系数阈值误断引起的偏差。
斯白噪声的标准差α的选取也有多种方式:可以利用鲁棒中值估计法来估计,
α=(median(|fi|)/0.6745)^(0.5)
其中,fi是最低分解尺度的频带;也可以利用小波分解系数中对角细节系数的标准差作为噪声标准差α的估计值。本文采取第二种方法,用对角系数的标准差αD作为α的估计值。这样一来,最后的阈值公式为:

公式中,αD作为α的估计值,可以很容易地在小波分解图像信号之后由分解出的对角系数计算出来。
接下来我们从小波阈值函数方面来分析小波阈值去噪的改进方法。 2、小波阈值函数的改进硬、软阈值方法在去噪方面取得了较好的效果,但它们存在缺点。式(3)虽然解决了|w^j,k-wj,k|的误差问题,但存在间断点±λ,在图像重建时会产生一些附加震荡,而且比较容易出现Pseudo-Gibbs现象等视觉失真。同样,式(4)在±λ处连续性好,但|w^j,k-wj,k|存在恒定的误差,这样会使图像的高频信息产生丢失等失真的现象,且式(4)存在高阶求导的困难,不利于进一步用数学工具对它处理。硬软折中阈值函数对式(3)(4)进行了改进,但依然存在恒定偏差问题。
欢迎分享,转载请注明来源:内存溢出
微信扫一扫
支付宝扫一扫
评论列表(0条)