
所谓阈值去噪简而言之就是对信号进行分解,然后对分解后的系数进行阈值处理,最后重构得到去噪信号。该算法其主要理论依据是:小波变换具有很强的去数据相关性,它能够使信号的能量在小波域集中在一些大的小波系数中;而噪声的能量却分布于整个小波域内。因此,经小波分解后,信号的小波系数幅值要大于噪声的系数幅值。可以认为,幅值比较大的小波系数一般以信号为主,而幅值比较小的系数在很大程度上是噪声。于是,采用阈值的办法可以把信号系数保留,而使大部分噪声系数减小至零。小波阈值收缩法去噪的具体处理过程为:将含噪信号在各尺度上进行小波分解,设定一个阈值,幅值低于该阈值的小波系数置为0,高于该阈值的小波系数或者完全保留,或者做相应的“收缩(shrinkage)”处理。最后将处理后获得的小波系数用逆小波变换进行重构,得到去噪后的信号。
2、阈值函数的选取小波分解阈值去噪中,阈值函数体现了对超过和低于阈值的小波系数不同处理策略,是阈值去噪中关键的一步。设w表示小波系数,T为给定阈值,sign(*)为符号函数,常见的阈值函数有:
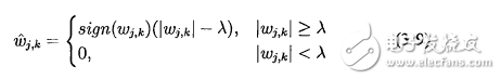
硬阈值函数:(小波系数的绝对值低于阈值的置零,高于的保留不变)

软阈值函数:(小波系数的绝对值低于阈值的置零,高于的系数shrinkage处理)

式(3-8)和式(3-9)用图像表示即为:

值得注意的是:
1)硬阈值函数在阈值点是不连续的,在下图中已经用黑线标出。不连续会带来振铃,伪吉布斯效应等。
2)软阈值函数,原系数和分解得到的小波系数总存在着恒定的偏差,这将影响重构的精度
同时这两种函数不能表达出分解后系数的能量分布,半阈值函数是一种简单而经典的改进方案。见下图:

选取的阈值最好刚好大于噪声的最大水平,可以证明的是噪声的最大限度以非常高的概率低于(此阈值是Donoho提出的),其中根号右边的这个参数(叫做sigma)就是估计出来的噪声标准偏差(根据第一级分解出的小波细节系数,即整个det1绝对值系数中间位置的值),本文将用此阈值去处理各尺度上的细节系数,注意所谓全局阈值就是近似系数不做任何阈值处理外,其他均阈值处理。
4、阈值策略

以下算法如果用简单的文字描述,可是:先将信号对称拓延(matlab的默认方式),然后再分别与低通分解滤波器和高通分解滤波器卷积,最后下采样,最后可以看出最终卷积采样的长度为floor(n-1)/2+n,如果想继续分解下去则继续对低频系数CA采取同样的方式进行分解。


欢迎分享,转载请注明来源:内存溢出
微信扫一扫
支付宝扫一扫
评论列表(0条)