
dsPIC30F2010的土壤水分测量仪的设计研究
0 概述
土壤水分测量一般有烘干测量法、中子扩散法、电磁测量技术、时域反射法、频域反射法、张力测量法、红外线遥测法、驻波率法等。本文提出了一种基于dsPIC30F2010单片机的土壤水分测量仪,该仪器采用驻波率原理,可以快速、精确的测量土壤水分,而其dsPIC30F2010性能先进,电路结构简单,系统比较稳定。经试验,按照这种测量原理设计的土壤水分测量仪不但成本低,体积小,便于携带,而且测量精确度较高,能进行多组数据的采集、存储,性能稳定,同时能够满足现代化精细农业节水灌溉和实时土壤水分测量的需要,可以达到节水灌溉的目的。
1 测量原理
本测量系统由高频信号发生电路、传输线、探针、检波电路、信号处理电路和显示电路组成。高频振荡器发出一个高频信号,然后经过传输线传递到探针,由于探针阻抗与土壤阻抗不匹配,故将造成一部分信号沿传输线发射回去,从而在传输线上形成驻波。使传输线上各点电压不相同。而传输线两端的电压主要是由土壤水分决定的,当土壤含水率改变时.阻抗就会发生变化,进而引起驻波比的变化,最终使传输线两端的电压也产生变化。因此,通过测量传输线两端的电压变化就可以测得土壤水分相应的变化。这样,用检波电路调理传输线两端的电压,再将其电压信号通过A/D转换送入单片机进行处理,最后将结果显示在液晶显示模块上。
2 硬件结构及功能
该土壤水分测量仪的结构框图如图1所示。该系统的主要功能是完成对传感器信号的采集、处理、显示和控制。从传感器得到一个电压信号,通过检波电路得到电压信号的峰值,再将其经过A/D转换送入单片机进行处理,最后将得到的结果显示在液晶模块上。
2.1 传感器
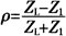
本系统中传感器的等效电路如图2所示。在图2中,Eg为高频信号源电动势;Rg是信号源的内阻;Z1是传输线的阻抗;ZL是土壤探针的阻抗;R1、G1和C1分别表示传输线上的分布电阻、电导和电容。这样,根据传输线理论,可得到A点的峰值电压为:Ua=A(1+ρ);而如果传输线长度为电磁波波长的四分之一,则B点的峰值电压为:
Ub=A(1-ρ),所以,A、B两点的电压差为△UAB=2Aρ。其中,ρ为传输线在A点的反射系数,可用表达式
来表示。
当传感器的探针插入土壤时,ZL主要由土壤介电常数决定,它可随着土壤水分的变化而变化,从而使传输线输出电压△UAB产生变化。因此,通过测量传输线两端的电压差就能间接得到土壤水分的含量。
本测量系统的高频信号采用100 MHz的正弦波信号,传输线采用同轴电缆.探针采用不锈钢制成。100 MHz信号发生电路如图3所示。
图3采用0X30系列MP3030型集成晶体振荡器。该振荡器的频率范围为10~160 MHz,电源电压为+5 V,在引脚5和引脚2之间可连接一个20kΩ的可调电阻,可通过引脚l来调节阻值,以得到100 MHz的正弦波信号,并通过引脚4输出。
2.2 检波电路
检波电路的作用是在传输线的两端检波出驻波的波峰和波谷,然后通过差分放大、输出调节,再进行A/D转换。
由于电压信号是由100 MHz正弦波产生的,故若不对信号进行预处理,dsPIC2010将无法有效处理信号,因而不能得到精确的结果。检波电路采用峰值检波,当检测出电压信号峰值后,再对信号进行A/D转换并送入单片机处理,进而得到精确结果。其检波电路的电路图如图4所示。
检波电路由一级精密二极管电路和一级电压跟随器组成。其中D1、D2和R1、R2、R3组成一级精密二极管电路,相当于一个理想的整流元件,而运放和C3、R4则组成一级电压跟随器,C3作为保持器,可用以锁存信号。
运算放大器芯片选用AD829。AD829是一款低噪、高性能高速运算放大器,压摆率230 V/μs,750 MHz的增益带宽积,±15 V供电,输出电压最大幅值可达28VPP,满足系统对电压信号峰值检测的要求。
2.3 单片机和液晶显示
单片机和液晶显示部分的电路图如图5所示。图5中的单片机芯片采用的dsPIC30F2010芯片是高性能改进型RISC CPU,它具有优化的C编译器指令集,83条具备灵活寻址模式的基本指令,24位宽指令,16位宽数据总线,12 KB片内闪存程序空间,512字节片内数据RAM,16×16位工作寄存器阵列,27个中断源和3个外部中断。该芯片的外设特性包括3个16位定时器/计数器,4个16位捕捉输入功能引脚,2个16位比较/PWM输出功能引脚,3线SPI模块以及带FIFO缓冲区的可寻址模块。此外,dsPIC30F2010还自带10位模数转换模块。它采用CMOS技术,具有低功耗以及宽工作电压范围(2.5~5.5 V)。
液晶显示部分采用HD44780芯片。该芯片是以若干个点阵块组成显示字符群,具有字符发生器ROM,可显示192种字符,并具有64个字节的自定义字符ROM以及80个字节RAM。HD44780模块结构紧凑轻巧,装配容易,采用单+5 V电源供电,具有低功耗、长寿命和高可靠性等优点。
dsPIC30F2010中自带的10位高速模数转换模块可将模拟输入信号转换成数字信号再进行处理。从检波电路出来的模拟电压信号通过ANO引脚进入dsPIC30F2010中的模数转换模块,然后在得到数字信号后,再在dsPIC30F2010中进行数据处理,最后将处理后的结果通过HD44780芯片的RXD引脚显示在HD44780芯片上。由于单片机内部自带有RAM和ROM,可以对数据进行连续采集和存储。而自带的模数转换模块则可使电路设计更简洁,从而提高工作效率。
3 软件设计与调试
本系统编程所用的语言为汇编语言的原因是汇编语言具有运行效率高、代码紧凑、易于访问硬件接口等优点。图6所示是本系统主程序的流程图。
设计好程序后,就要对它进行调试以确保程序能成功运行。调试时,首先接通硬件电路,在确定接线正常之后.利用Keil公司基于Windows的集成开发环境的uVision2 IDE可进行系统软件调试。uVision2 IDE中包含一个高效编辑器、一个项目管理器和一个MAKE工具,可对源程序进行反复调试和代码更改,直到程序调试成功。
4 试验测量结果
制作好的土壤水分测量仪可以对其进行试验测量,土壤选用在西南地区广泛比较分布的紫色土。用该土壤水分测量仪测量10组不同含水量的土壤样品,再将得到的结果和用烘干法得到的结果相比较,所得到的结果如表1所列。
经过上述测量和比较可见,在土壤水分含量在2.3%~31.5%的范围内,土壤水分测量仪的测量结果与烘干法得到的结果相比较,其精度误差在5%以内,可见其测量精度可以满足使用要求。
5 结束语
本文论述了一种基于dsPIC30F2010的土壤水分测量仪的设计方法,同时给出了土壤水分测量仪的硬件结构及软件设计方案。该测量仪体积小,成本低,测量精度高,数据采集方便而且迅速,能获得土壤水分的动态连续曲线,适用于现代农业的节水灌溉,可以对农作物需水量实施智能监测。但不同类型土壤的理化性质是不同的。因此,在测量不同类型的土壤水分时,要对测量仪的传感器部分进行重新实验和进一步研究,以使测量仪能应用于生产实践。
欢迎分享,转载请注明来源:内存溢出
微信扫一扫
支付宝扫一扫
评论列表(0条)