
随着城市发展的速度越来越快,交通工具越来越多,拥堵现象越发明显,使得人们的出行受到了很大的制约。目前公交系统无法将行车信息与道路通行信息及时送达 调度系统,一旦发生车辆故障、交通堵塞或交通事故,给车辆调度、乘客带来不便。为此,研究出基于ZigBee技术的城市公共交通信息系统,通过站点终端及 时将车辆信息及行车信息发送到调度站,为科学合理调度车辆、为乘客提供车辆实时行驶信息,真正实现智能交通。
1 ZigBee技术优点ZigBee技术是一种低速无线网络技术,它适用于通信数据量不大,数据传输速率相对较低,分布范围较小,但对数据的安全可靠有一定要求,而且要求低成本 和低功耗,容易安装使用的场合。该系统采用ZigBee技术主要考虑以下因素:它是一种无线通信设备,避免了网络布线麻烦;ZigBee设备体积小,安装 成本低,设备维护方便;ZigBee设备具有网络自组织的功能,能够自动进行组网,在终端节点电量较低、部分终端节点损坏的情况下仍然能够重新配置网络, 保证网络的正常通信;ZigBee设备采用了分级的安全性策略,保证了数据传输的安全、可靠。
2 系统结构总体设计将带有定位功能的ZigBee无线传感器芯片CC2431安装到公交车上,使车辆能够在行驶中实现定位,通过安装在道路两旁的参考节点组成一个自组织的网 络系统,交通信息采集传感器终端节点CC2431与每个临近的参考节点组成星型网络进行通信,参考节点可以安装在公交站牌上和路灯等固定位置的交通设施 上,最终的数据将被汇聚到网关节点上。网关节点可以作为一个模块安装在交叉路口的交通信号控制器内,通过信号控制器的专有网络,将所采集到的数据发送到调 度管理中心作进一步处理。如果需要人为进行 *** 控,由调度管理中心根据当前的行车状况,进行指令的发出,指挥车辆的调度,如图1所示。

在基于ZigBee技术的城市公共交通信息平台中,确定传感器节点自身位置是系统中最重要的参考数据,定位原理是根据少数已知位置的节点,通过比照计算, 按照某种定位机制来确定自身位置的,节点分为信标节点和未知节点。信标节点通过携带定位设备或者人工部署等手段获得自身的精确位置,在网络节点中占的比例 很小,不是信标节点的其他传感器节点就是未知节点,他们通过信标节点来确定自身位置。具体步骤如下:
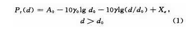
(1)首先确定未知节点到信标节点的距离或方位。采用基于接收信号强度指示的定位(RSSI)算法,已知发射节点的发射信号强度,接收节点根据收到信号的 强度计算出信号的传播损耗,利用理论或者经验模型将传输损耗转化为距离,再利用已有的算法计算出节点的位置。以下是具有视距传输的对数距离路径损耗模型。 其大尺度传输模型见式(1):

式中:Pr(d)为接收信号强度表达式(距离发射点d m处);A0表示节点的发射功率;d0表示接收功率的参考点;γ0为自由空间路径损耗指数(γ0=2);γ表示实际的路径损耗指数;XΣ表示0均值的高斯 分布随机变量;标准偏差为Σ。在实际的无线传感器网络中,节点可以测量并记录来自其他节点的型号强度,由式(1)推出:

相对于其他定位方法,RSSI定位受硬件条件及环境的影响最小,且易于实现,但精度较差。无线传感器网络中,无线电波的传输受多种因素影响,使得某个固定 节点接收到另一个固定节点发射的信号强度每次不相同。但从全局来看,信号强度必然在某一范围内变化。因此采用多次测量取平均值的方法,将使计算结果不断向 实际坐标收敛,从而有效地减小随机误差带来的影响。
(2)通过使用三边测量法估算出未知节点的位置。三边测量法如图2所示。已知A,B,C三个节点的坐标分别为(Xa,Ya),(Xb,Yb),(X- c,Yc),以及它们到未知节点D的距离分别为Da,Db,Dc,计算节点D的坐标为(X,Y),节点D在三个圆的交点上。根据RSSI算法,求出待测节 点X与已知节点Xa,Xb,Xc之间的距离Da,Db,Dc。由于RSSI测距算法测量距离有着比较大的误差,因此可分别通过n个已知节点的位置和他们与 待测节点之间的距离求出待测节点n种可能的位置,然后将这n种可能的位置坐标平均,即可得到最终待测节点的位置。

ZigBee无线定位系统是由上位机软件进行定位监控和一个无线定位网络构成的无线定位监控系统。本文采用TI/Chipcon公司的带有硬件定位引擎的 CC2431芯片和带有路由功能的CC2430。无线定位网络主要由ZigBee网关、参考节点和盲节点组成:
参考节点:无线定位系统中已知坐标节点,是ZigBee网络中的路由器。由于其坐标是已知的,所以这个节点要正确地配置在定位区域中。它主要将一个包含自己位置的X,Y坐标和RSSI值的信息包发送至盲节点。
盲节点:无线定位系统中的移动节点,是ZigBee网络中的路由器,主要通过已知参考节点的坐标来计算自身坐标值。移动节点和离自己最近的参考节点通信, 通过收集这些节点的X,Y坐标和RSSI值计算出自己的坐标信息。然后将适当的信息发送给网关,通过RS232串口延长线传送给上位机软件。
ZigBee网关:它是无线定位系统的网络协调器,通过RS 232串口延长线与PC相连,其在整个系统中有着至关重要的作用。首先它要接收由上位机软件提供配置数据,并发送给相应的节点;其次还要接收各节点反馈的有效数据,并上传至上位机软件。
4.2 系统定位原理定位系统由参考节点和盲节点组成。参考节点是一个位于已知位置的静态节点,这个节点位置已知且可以将其位置参数通过发送数据包通知其他节点。盲节点与离自 己最近的参考节点进行通信,获得参考节点位置坐标及相应的RSSI值,并将其写入定位引擎,然后读出由定位引擎经计算得到的自身位置。通过收集参考节点的 X,Y坐标和RSSI值,并与输入参数(A,N)一起计算自己的位置信息,然后将信息发给网关。
网关节点通过建立网络,获取收集到的信息,利用串口和计算机通信,然后对收集到的信息进行计算校验,最终将参考节点和定位节点坐标网络地址正确地显示出来。
5 系统实现该系统通过安装在各公交车上的盲节点、安装在各站台和路灯等固定设施上的参考节点和安装在交通信号灯上的ZigBee网关将数据传送给监控中心。网关初始 化后,首先选择合适的信道建立网络,监听该信道,等待其他ZigBee设备发出的连接请求。当接收到某设备的连接请求,经认证确认是合法设备后,便发出允 许连接的命令,建立连接。连接建立后,网关节点便获得了该设备的标识号(标识号代表该公交车),并将该标识号储存在自己的登记表中,然后检测是否有用户采 集数据请求,如果有,则根据登记表中的信息依次采集数据,并根据RSSI算法计算平均值,最后通过串口向上位机软件发出“某车在何时进站”的信息。当公交 车驶离站台后,使公交车与网关断开连接,从登记表中删除这个标识号,同时向监控中心发送信息“某车已驶离站台”。如果遇到堵车等特殊情况,公交司机可以通 过车辆上的专用按钮发送信号,网关可以接受反馈的数据,并传输给上位机软件。
盲节点经过初始化后,监听信道寻找ZigBee网关,尝试加入网络。当它检测到ZigBee网关并且信号强度大于定值时,便向该网关发出建立连接的请求。 连接建立后,它便获得了该网关的标识号,从而知道是哪一站,并发出报站信息,实现自动、准确的报站。当本车驶离站台时,检测到网关信号强度减弱到一定程度 后,便向网关发出断开连接的请求。网关节点和参考节点的流程图如图3,图4所示。

由于ZigBee技术具有低成本、低功耗、低复杂度、低传输速率、长距离传输的特点,其通信可靠,自组织自愈能力强、网络容量大等特点,使得将其应用到智 能公交系统上具有很大的优势。在本文中,通过对公共交通信息平台的构建,重点对无线传感器网络定位机制进行研究,结合RSSI测距算法与三边测量法,提出 了基于ZigBee技术的城市公共交通信息平台架构,并构建出实现模型。将该系统应用到城市公共交通系统中,可以实时了解车辆行车信息和车辆状况,为乘客 和调度提供极大的方便,具有一定的应用价值。
欢迎分享,转载请注明来源:内存溢出
微信扫一扫
支付宝扫一扫
评论列表(0条)