
电子发烧友网讯:国内知名电源技术专家陶显芳不辞劳苦,在双节期间仍坚持为各位电源工程师或爱好者排忧解难,写出一些工程师们非常关心的技术问题和常见的电源问题及解决方法。电子发烧友网编辑现为读者整理成几部分为《跟电源专家陶显芳学电源技术》系列,内容包括:
1、漏感与分布电容对输出波形的影响(上)
2、漏感与分布电容对输出波形的影响(下)
3、对漏感与分布电容的影响进行数学分析
4、电源开关管的过压保护电路
5、电源开关管保护电路参数的计算(上)
6、电源开关管保护电路参数的计算(下)
7、RCD尖峰脉冲吸收电路参数计算举例:开关变压器初级线圈漏感Ls的计算
8、RCD尖峰脉冲吸收电路参数计算举例:尖峰脉冲吸收电容器容量的计算
9、RCD尖峰脉冲吸收电路参数计算举例:尖峰脉冲吸收电阻阻值的计算。
内容精彩,敬请对电子发烧友网保持密切关注。
图1是单激式开关电源的基本原理图。图中,T为开关变压器,N1和N2分别为开关变压器初、次级线圈;LS为开关变压器的漏感, 为开关变压器初级线圈的励磁电感;CS为开关变压器初级线圈的分布电容,RL为开关变压器次级线圈的输出负载,Q1为电源开关管。

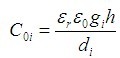
变压器初级线圈或次级线圈的分布电容Cs可按下式进行计算:
(1)
式中,
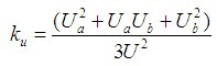
为第 i层与 i+1层线圈之间的静态电容,i = 1、2、3、• • •、n ,n为所求总分布电容的变压器初级线圈或次级线圈的层数; gi为第 i层与 i+1层线圈之间的平均周长; Kui为第i 层与i +1层线圈之间分布电容的动态系数,
,它与加到电容两端的电压有关, Ku是一个小于1的系数;
Ui为第i层与 i+1层线圈之间的标准电位差,其值一般等于相邻两层线圈工作电压之和,即Ui=2U/n: ,U为变压器初级线圈或次级线圈两端的工作电压;Uai 、Ubi 分别为第 i层与i +1层线圈之间 x = 0和x = h 处对应的电位差;当线圈层间按S绕法时,Uai = 0,Ubi =Ui;当线圈层间按Z绕法时, Uai= Ubi=1/2Ui 。
如果不考虑变压器次级线圈对初级线圈的影响,对于一个功率大约为100瓦的开关变压器,其初级线圈的分布电容大约在100~2000微微法之间;如果把次级线圈的分别电容也考虑进去,总的分布电容可能要大一倍左右,因为初、次级线圈分布电容的转换比是平方的关系。因此,分布电容对输出波形的影响是很大的。
根据变压器的工作原理,图1中的开关变压器还可以等效为图2所示电路。

在图2中,Ls为漏感,漏感也称漏磁电感,或称分布电感;Cs为分布电容(总分布电容), 为励磁电感,R为等效负载电阻。设开关变压器初级线圈的电感为L,则L=Ls+Lu ;而分布电容Cs,则包括次级线圈等效到初级线圈一侧的分布电容,即,次级线圈的分布电容也要等效到初级线圈回路中;同理,等效负载电阻R,就是次级线圈的负载RL被等效到初级线圈回路中的电阻。
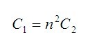
设次级线圈的分布电容为C2,等效到初级线圈后的分布电容为C1,则有下面关系式:
(2)
上式中, Wc2为次级线圈分布电容C2存储的能量, Wc1为C2等效到初级线圈后的分布电容C1存储的能量;U1、U2分别为初、次级线圈的电压,U2 = nU1,n = N2/N1为变压比,N1 、N2分别为初、次级线圈的匝数。由此可以求得C1为:
(3)
(2)和(3)式的计算方法不但可以用于对初、次级线圈分布电容等效电路的换算,同样可以用于对初、次级线圈电路中其它电容等效电路的换算,以及用于对负载电阻的换算。所以,C2亦可以是次级线圈电路中的任意电容,C1为C2等效到初级线圈电路中的电容。
由此可以求得图2中,变压器的总分布电容Cs为:
(4)
(4)式中,Cs为变压器的总分布电容,Cs1为变压器初级线圈的分布电容;而C1为次级线圈电路中所有电容等效到初级线圈电路中的电容;C2为次级线圈电路中所有电容(包括分布电容与电路中的电容);n = N2/N1为变压比。
欢迎分享,转载请注明来源:内存溢出
微信扫一扫
支付宝扫一扫
评论列表(0条)