
引言
当代LCD 显示大部分采用的是冷阴极射线荧光灯(CCFL)背光或LED 静态背光,由于CCFL 亮度不易控制并且响应速度慢,造成能源浪费和动态模糊。LED 静态背光效果虽好,但是其耗能也较为严重,另外恒定亮度的背光使得图像的对比度下降,显示效果不理想。对图像RGB 像素进行分析,在某些区域适当地采用低一级亮度的LED 背光,不仅可以节能,而且会扩大图像显示的对比度,消除动态模糊现象。
1 设计方案及其原理
动态背光源表面上是个整体,其实内部在制作原理图时已经将之分成多个区域,分别控制其各自的亮度。可知背光灯的密集度越高,划分的区域越多、面积越小,显示出来的整体效果会越好。但是从成本、经济价值、制作工艺、节能等方面综合考虑,可知灯的数目不可能无限多,划分的区域也不会无限密集,但是总可以找到一个最合适的设计规格。
RGB 色彩模型是工业界的一种颜色标准,通过RGB 模型为图像中每一个像素的RGB 分量分配一个0~255 范围内的强度值。RGB 图像只使用三种颜色,按照不同的比例混合, 理论上在屏幕上呈现16,777,216 种颜色。在本系统只有RGB 各个分量不能直接得到我们需要的亮度控制参数Ki,需要经过FPGA运算得到图像各个像素的灰度值,然后再计算。
对图像进行灰度计算的基本思想是将每个像素的RGB 三种颜色成份的值取平均,然而由于人眼的敏感性,这种做法效果并不好,应该是每个分量需有一定的权重,计算公式如下所示。

(1)为灰度计算公式,可直接由RGB 各个分量计算得到像素的灰度值,当然可以整体的放大或缩小,即乘以一个共同的系数。

(2)为由像素灰度求亮度公式,其中Tmax 为最大透过率,在同一个系统中为一固定值,可不予关注,γ 为RGB 像素矫正因子,B 为背光源亮度值。
当背光源的亮度变为原来的1/λ即B' 时,为了使人眼观察灰度C' 像素的亮度不发生大的变化,应使两次得到的值一致,即:

令:

解方程可以求得:

一般情况下,灰度的调节由8bit 数据控制,即可以将灰度值由0~255,分成256 份,其中每一份代表一个灰度级别(本实验中所使用驱动芯片的灰度级别为4,096)。所以可以令控光参数Ki:

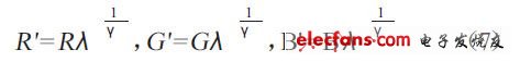
其中Cmax 为各个分割区域中的最大灰度值,Ci为各个相应区域的最大灰度值,计算得到的区域控光参数Ki 来调节FPGA 的输出,来调节背光板亮度,从而可以得到校正后各个像素的RGB 值分别为:

如方案图所示,最后将由控制器输出的行、场同步信号和校正后的RGB 信号等传输给LCD 板。

方案中SDRAM 的主要作用有两个:一是在FPGA 处理不及时的情况下,用来存储从图形控制器传过来的行、场同步信息和RGB 数据信息等;二是存储FPGA 处理过的数据,单LCD 板未来得及处理的信息。这样设计的目的在于达到数据不丢失,信息传输更及时的效果。
欢迎分享,转载请注明来源:内存溢出
微信扫一扫
支付宝扫一扫
评论列表(0条)