
让我们首先看一下ADC PSRR特性。为了保持连续性,我们将使用ADC3444作为示例。该ADC3444是一款四通道,14位,125MSPS流水线ADC。使用“在ADC中测量PSRR”中开发的方法,我们创建了这些PSRR图:
- 模拟VDD(AVDD)PSRR在DC和基波与频率之间。
- AVDD PSRR与基波输入功率。
- 数字VDD(DVDD)PSRR与频率的关系。

图1:由ADC电源上的AC信号引起的杂散位置
该ADC3444 AVDD和DVDD提供完整的PSRR特性,如下图所示。请注意,每个ADC的本地旁路都已到位,每个AVDD电源引脚上的电流为0.1μF,每个DVDD电源引脚上的电流为0.22μF,AVDD上的总电流为1.3μF,DVDD上的电流为0.88μF。图2是测试配置框图。

图2:(a)AVDD测试电路配置; (b)DVDD测试电路配置
图3显示了-2dBFS时基波的PSRR与频率的关系。两个结论突然出现在你面前:
- 基波周围的两个杂散的PSRR比DC的PSRR差20dB。
- 两种PSRR均为~200kHz,并且实际上正在改善。
PSRR与频率的改善不是由ADC PSRR引起的,而是由旁路电容衰减的干扰信号引起的。

图3:AVDD PSRR与频率的关系
为了验证AVDD电源的PSRR是否依赖于基波,测量了图4。它显示了带有基波的杂散的dB / dB依赖性。换句话说,干扰源存在于基波周围,具有设定的dBc(低于载波的dB)响应。在DC,干扰源对于ADC的动态范围内的任何信号保持恒定。

图4:AVDD PSRR与模拟输入功率的关系
我对ADC的数字电源采用了相同的方法,如图5和图6所示。正如预期的那样,数字电源PSRR比模拟电源的PSRR要好一个数量级,即20dB。还可以感觉到旁路电容的存在,但超过300kHz,但不会像模拟电源一样长。也没有依赖于基波的幅度。

图5:DVDD PSRR与频率的关系

图6:DVDD PSRR与输入功率的关系
这是一项有趣的练习,但我们可以从结果中得出什么结论呢?
第一个结论是ADC3444中使用的架构对模拟电源最敏感。请记住,上述结果是典型的,应添加保护带。由于28dB是-2dBFS时的最差结果,PSRR降低了dB / dB,因此全摆幅0dBFS将具有26dB的PSRR。考虑到过热和过载变化至少10dB的保护带,使ADC3444 AVDD 的最小PSRR为16dB。10dB保护带是一种估计值,需要额外的特性以确保足够的性能水平。
使用与“在ADC中测量PSRR”中相同的等式,参见下面的等式1和2。现在可以估计DC / DC转换器中存在的最大允许纹波,现在考虑到ADC直接由包含纹波的电源供电。

图7:非理想AVDD电源的电路配置
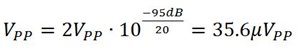
系统设计公差将揭示维持所需性能的最大可接受刺激。我们在这里考虑最差的杂散不能超过-95dBFS。这意味着使用16dB最坏情况PSRR并使用下面的等式1和2,我们可以确定最大允许电源纹波。

(ADC PSRR衰减后允许的最大纹波幅度)
这导致我们:

这是AVDD电源引脚上可能出现的最大纹波。
我们可以通过以下方式放宽这一严格要求:
- 减少PSRR上的保护频带。
- 不在完全动态范围内运行ADC。
- 允许FTT中的杂散大于-95dBFS。

图8:非理想AVDD电源的电路配置
DVDD最差为62dB。在这个典型值上保持10dB的余量,我们可以计算出DVDD电源引脚上的最差干扰,以确保FFT中的-95dBFS性能为14.17mVpp。
这些计算提供了ADC两种电源所需性能的指导原则。在我的下一篇文章中,我将讨论为每种供应开发适当的电源解决方案及其对性能的影响。
欢迎分享,转载请注明来源:内存溢出
微信扫一扫
支付宝扫一扫
评论列表(0条)