
射频前端低噪声放大器(LNA)电路是无线电设备前端电路设计中的重要内容。由于实际的无线电传播环境通常较为恶劣,因此,其射频前端电路中必须考虑采用LNA。LNA作为射频模块中的关键电路,其噪声大小直接影响着接收机的性能。另一方面,LNA的设计也是无线电设备相关电路设计中最具有挑战性的内容之一。这主要表现在它同时需要满足高增益、低噪声、良好的输入输出匹配和在尽可能小的工作电流时的无条件稳定性。
作为移动通信标准之一的CDMA2000,是第三代移动通信系统的一个重要技术标准,在世界范围内得到广泛的重视。事实上,LNA电路的设计是这一标准下基站电路设计的主要内容之一。同时,由于移动通信设备应用场合以及CDMA2000多址方式的特殊性,抑制干扰/噪声、提升增益并保持其稳定性,是相关电路设计的基本出发点。因此,可以结合CDMA2000基站LNA电路的设计问题,探讨一般情形下射频LNA电路设计的若干关键问题及其解决途径。这同时也为一般性问题的讨论提供了实际应用的背景。
2、射频LNA电路设计中的若干问题低噪声放大电路的设计,首先应同时应着眼于低噪声和高增益两方面的要求。在高增益的情形下,从其性能的可靠性出发,必须兼顾电路的稳定性。为了实现在实际电路设计中对这些因素的综合考虑和折中处理,首先对有关问题逐一加以讨论。
2.1 噪声问题及其处理办法
导致放大电路噪声特性变差的主要噪声来源包括闪烁噪声、热噪声和散d噪声。其中,闪烁噪声又称为1/f噪声,其取值与半导体材料有关,功率谱密度与频率成反比。因此,在射频情况下可以不予过多考虑。热噪声是电子热运动所引入的噪声,主要受控于环境温度,与电流无关。在射频情形下,这一噪声受外场频率升高的作用,其量值将随频率的升高而明显增大。散d噪声不直接受温度的影响。散d噪声的大小正比于工作电流。综上所述,射频低噪声放大电路中作为对噪声的抑制,主要应考虑对热噪声和散d噪声的抑制。
一般地,噪声问题可以通过选择低噪声器件、降低电路插损、改善线性度,以及降低电路功耗等方式加以有效解决[1]。注意,包括低噪声器件的选择在内,上述方法大都与电路的具体设计有关。因此,在实际设计中应根据相关指标要求,灵活应用上述处理方法。
2.2 增益问题及其处理办法
为了实现电路的高增益(一般都在几十dB),通常需要采用多级放大电路,如图1中所示的两级放大电路。这一处理方法在实践中得到了广泛应用。

图1 两级放大电路模型
为了兼顾对噪声问题的考虑,应对多级放大电路的噪声和增益加以统一考虑。对m级放大器,其总噪声系数由各单级电路的噪声系数NF和增益Av决定[2],即

由于各单级放大电路的放大倍数一般都远大于1,显然,多级放大电路总的噪声系数主要由前级电路决定,最前级电路的噪声大小成为影响整个电路的主要因素。为此,应当通过选择低噪声器件等方式,使前级电路的噪声得到抑制。同时,折中考虑放大级数、单级放大倍数等的选择。
为了获得LNA电路最大增益输出,输入输出必须阻抗匹配。对实际的LNA放大电路,其输入输出阻抗一般都设计为50Ω从噪声的角度看,可以通过天馈端与LNA电路输入端之间的共轭匹配来实现能量的最佳传输。
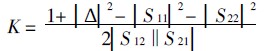
2.3 稳定问题及其处理办法
电路的稳定性也是LNA电路必须考虑的,特别是在放大器的设计中,必须保证放大器的稳定性,以避免可能出现的自激,稳定性判据如下[2]:定义

式中Δ=S11S22-S12S21
如果K》1且|Δ|《1,则电路对任何信号源和负载阻抗是绝对稳定的;如果K《1或|Δ|》1,则电路存在潜在的不稳定性[3]。对于某些信号源或负载阻抗会出现自激现象,这种情况并不意味着电路不能工作,但需慎重选择信号源和负载阻抗。所以,在进行电路设计时,必须测量相关元件的S参数。

改善电路的稳定性通常可采用四种阻抗连接,其连接方式如图2所示。图2(b)电路是在电路的输入端接上一个转移电阻来改善稳定性。ADS仿真改善前和改善后的k-f特性如图3所示(其中,k代表稳定系数)。
欢迎分享,转载请注明来源:内存溢出
微信扫一扫
支付宝扫一扫
评论列表(0条)