
一、研究背景
在微波暗室内对基站天线进行测试是一种常用的方法。由于暗室尺寸的限制,对增益较高的天线,往往不能满足远场测试条件。在这种情况下测试结果与远场情况下的测试结果有较大差异。本报告给出了一种由准远场距离上测得的方向图计算远场方向图的方法。
二、修正算法的基本原理
如图1所示的AUT为基站天线,天线沿着y轴方向的尺寸较小,容易满足远场条件,而x方向的尺寸较大,不满足远场条件。针对这类天线的方向图,可以采用该方法进行修正。

图1 天线坐标系
以oy为轴作一个能完全包围待测天线的最小柱面,设该柱面的半径为rmin。在该柱面之外,天线产生的电场可表示成矢量波函数
的加权和,即
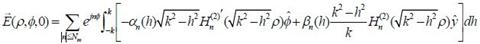
(1)
令场点位于xoz平面(即y=0),且ρ较大时,式(1)可以表示为
(2)
其中:Nm=krmin+10
由于场点(ρ,φ,0)已经处于天线的准远区,且ρ相对于天线的垂直尺寸(y轴方向)已经很大了,对上式中的积分可以采用一维驻相法进行计算,并考虑到
,从而有
(3)
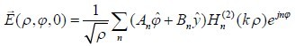
对于任意的线极化电场分量均可以表示为
(4)
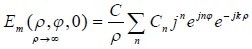
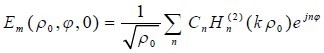
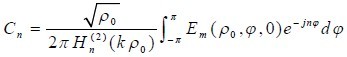
如果在ρ=ρo处测得电场为Em,则有
(5)
可以求出
(6)
将Cn代入公式(5),命ρ→∞,则得到天线远场为
(7)
其中,C为与角度无关的常数,可以略去。天线的远场方向图为
(8)
基于以上关系式,容易得到远场条件下天线增益与准远场条件下增益的差值为

欢迎分享,转载请注明来源:内存溢出
微信扫一扫
支付宝扫一扫
评论列表(0条)