
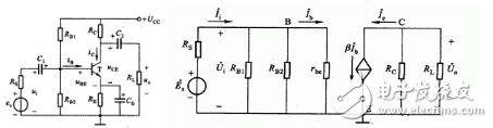
分压式偏置电路
分压式偏置电路是三极管另一种常见的偏置电路。这种偏置电路的形式固定,所以识别方法相当简单。
1.分压式偏置电路的组成
分压式偏置电路如图1(a)所示。其中:
Rb1和Rb2是基极偏置电阻。
C1是耦合电容,将输入信号vi耦合到三极管的基极。
Rc是集电极负载电阻。

(a)电路 (b)微变等效电路
图1 分压式偏置电路及其微变等效电路
Re是发射极电阻,Ce是Re的旁路电容,它为交流信号提供通道,避免了Re对输入信号的衰减。Ce的电容量一般为几十微法到几百微法。
C2是耦合电容,将集电极的信号耦合到负载电阻RL上。
图1(b)是图1(a)电路的微变等效电路。
2.稳定静态工作点原理
设流过基极偏置电阻
的电流IR》》IB,因此可以认为基极电位VB只取决于分压电阻
、
,VB与三极管参数无关,不受温度影响。
静态工作点的稳定是由VB和Re共同作用实现,稳定过程如下:
设温度升高→IC↑→IE↑→VBE↓→IB↓→IC↓
其中:IC↑→IE↑是由电流方程 IE = IB+IC得出,IE↑→VBE↓是由电压方程VBE= VB-IERe得出,IB↓→IC↓是由 IC =βIB得出。
由上述分析不难得出,Re越大稳定性越好。但事物总是具有两面性,Re太大其功率损耗也大,同时VE也会增加很多,使VCE减小导致三极管工作范围变窄。因此Re不宜取得太大。在小电流工作状态下,Re值为几百欧到几千欧;大电流工作时,Re为几欧到几十欧。
3.静态分析
分析图1电路的直流通路如图2,可以得出:
基极电位 VB = VCC Rb2 / (Rb1+Rb2)
发射极电流 IE =( VB-VBE)/ Re
集电极电流 IC≈IE
基极电流 IB = IC / β
集射极电压 VCE= VCC -ICRc-IERe= VCC-IC(Rc+Re)
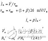
4.动态分析
根据图1(b)的微变等效电路,有

图2 基本放大电路的直流通路

电压放大倍数Av
Av =Vo/ Vi = -βRL′/ rbe (2)
输入电阻ri
ri = Vi / Ii (3)
= rbe // Rb1// Rb2≈rbe = rbb` (1+β)26 mV/ IE
=300Ω+(1+β)26 mV/ IE
根据输出电阻的定义,应将图1(b)微变等效电路的输入端短路,将负载开路。在输出端加一个等效的输出电压。于是输出电阻ro
ro = rce∥Rc≈Rc (4)
欢迎分享,转载请注明来源:内存溢出
微信扫一扫
支付宝扫一扫
评论列表(0条)