
小波在扩频通信中的应用
本文描述了基于正交小波函数族的多址通信原理,并提出了一种多速率正交小波调制方法.用具有不同伸缩尺度的小波函数对不同信道中的码流进行编码,可以达到扩展信息序列频谱的目的,因此这一多址技术具有很好的抗干扰性能.本文还讨论了这一多址方式的其它特点,并针对信道容量不平等问题提出了一些解决办法.
关键词:小波;多址通信;调制;扩展频谱
The ApplicaTIons of Wavelet in Spread Spectrum CommunicaTIons
WU Hao,SONG Wen-tao,LUO Han-wen
(Dept.of Electronic Engineering,Shanghai Jiaotong Univ.,Shanghai 200030,China)
Abstract:The principle of mulTIple access communicaTIon is described,which is based on the orthogonal wavelets in this paper.And a multirate orthogonal modulation scheme is proposed.The goal of spreading information sequence spectrum is met by coding bit-streams with the different scaled wavelets.So this multiple access technology has a good performance in resisting narrow jam and interference.The other characteristics are also discussed.Some methods are given to resolve the inequity of the channel capacity.
Key words:wavelet;multiple access communications;modulation;spread spectrum
一、引 言
近年来,小波分析方法在信号检测、多尺度边缘提取、语音及图像处理等诸多通信领域得到了广泛应用[7,8].在扩频通信领域中,基于正交小波函数族的多址扩频技术也被提出[1],并被称为SDMA(scale-division multiple access,尺度划分多址).现在广泛应用的CDMA技术是利用伪随机序列来进行扩频,所得到的近似正交的伪噪声序列具有很强的抗窄带噪声的性能;而SDMA则利用正交小波函数族来完成扩频,同样具有类似性能.但是,在CDMA系统中,信息都是在同一频段上传输,窄带噪声会污染整个信息流;而在SDMA系统中,信息被分配到不同子带上传输,窄带噪声只会污染部分信息流,因此,SDMA的系统性能要优于CDMA.下面将分别阐述SDMA的原理、调制解调模型和SDMA的特点,最后给出结论.
二、SDMA扩频原理
小波分析的基础理论为寻找合适的正交小波函数族提供了强有力的理论依据,也是SDMA的数学基础.小波函数定义为
(1)
式中w(t)称为基本小波.实际应用中,通常采用进二小波,定义为
ψmn(t)
2m/2ψ(2mt-n) (2)
根据小波函数性质,有<ψmn.ψkl>=δm,kδn,l,其中δi,j=
对任意信号x(t),其离散二进小波变换及反变换为
xmn=∫+∞-∞x(t)ψmn(t)dt (3a)
(3b)
现在考虑M条二进制码流sm∈{0,1},m=1,2,…,M,对于在L2(R)上的正交集ψmnT,可将sm合并为
(4)
其中n表示一个序列的第n个比特,T是一个比特的持续时间.因此,在接收端信号的解调就是根据(3b)对c(t)进行小波变换以提取序列sm.下面从式(4)出发来推导c(t)的功率谱表达式.
c(t)的自相关函数为

假定信息序列{sm(n)},m=1,2,…,M,是广义平稳过程,其自相关函数定义为Rss(k)=E[s*m(n).sm(n+k)],所以

因为c(t)为广义周期平稳过程,故有
(5)
从式(5)的傅立叶变换得到c(t)的功率谱密度表达式
(6)
其中
,并定义信息序列的谱密度为

代入式(6)就得到Φcc(ω)的进一步表达式
(7)
从式(7)可以看出,信息序列经过小波变换编码后,其频谱得到了扩展,并且扩频系数η=2m,m>0.可见,各信道的扩频系数是不相同的.
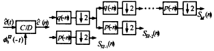
三、基于SDMA的调制解调模型
根据多分辨率分析理论,信号c(t)的调制与解调就是小波重构与分解过程.为此,引入另一个函数φ∈L2(R),且有φmn(t)=2m/2φ(2mt-n),使得分别以ψ和φ为基的两个空间相互正交,则存在两个序列{p(n)}和{q(n)}使得
(8a)
(8b)
(8c)
设fj和gj分别是尺度为j的两个正交空间Vj和Wj上的函数,则它们有唯一级数表示:
(9a)
(9b)
从式(8)、(9)可得到小波分解及重构算法
(10a)
(10b)
(10c)
在有限分辨率情况下(即m<
),式(4)可以改写为
(11)
接收端收到的信号
(t)=c(t)+n(t),n(t)是信道噪声,根据式(11)可以得到最佳接收机模型为
(12)
由式(10)~(12)可以得到SDMA的调制解调模型,如图1,2所示.

图1 SDMA的多速率调制模型

图2 SDMA的多速率解调(最佳接收机)模型
在实际系统中,总有
,因此系统容量为M=
-M,
和M分别为系统分辨率的上限和下限.若在尺度为m的信道上采用多电平PAM调制,因此信道的传输速率Bm=2mlog2Lm比特/秒,其中Lm是调制电平数.显然,此时数据是在
的频带上传输.对这种调制方式,可以得出未编码情况下在加性高斯分形噪声信道中的误码率[2],实际上对加性白高斯噪声(AWGN)信道类似有
(13)
式中Em为每符号的平均能量,σ2为AWGN的方差.从式(13)可以看出,各信道的误码率会不一致.
四、SDMA的性能及特点
通过前面的分析,说明SDMA系统具有很好的抗窄带噪声性能,同时还可以通过选择合适的基小波w使得发送信号类似于背景噪声的频谱特性,使之具有很强的保密性[2].与CDMA相似,只有知道w的接收者才能获得信息,而其他人很难窃取;并且还可以让发送者按某一规律用不同小波发送信息(称之为wavelet hopping spread spectrum),以增强系统安全性,这与跳频扩频(FH/SS)较为类似.SDMA系统是将信号能量分配到不同的频率子带上进行传输,也使得系统具有很强的抗窄带噪声性能.在图1和图2中,传输函数p(n)、q(n)以及p(-n)、q(-n)即为实现这种分配及其逆过程.这些传输函数可以用正交镜像滤波器(PR-QMF)组实现.
另一方面,也可以用SDMA的综合/分析滤波器组代替传统CDMA系统中的Gold序列M序列对信息进行扩频[3,4],这样就可以将同一用户的信处分配到不同子带上传输.图3给出了这种扩频系统结构.其中的综合滤波器组与分析滤波器组用PR-QMF实现,子带选择/提取可以用来控制信息比特在不同子带上传输.图4和图5分别给出了在AWGN信道下这一系统的单用户和两用户性能的计算机仿真结果.

图3 SDMA扩频系统模型

图4 AWGN信道下SDMA系统单用户性能

图5 AWGN信道下基于不同扩频码的两用户异步CDMA系统性能(PR-QMF的扩频系数为32,Gold序列和M序列的长度为31)
在前面的分析中曾提到SDMA系统的各个信道有不同误码率和传输速率.对于前者,可以通过功率控制使各信道的误码率接近;而对于后者,这种信道的不公平性却正是SDMA系统所固有的.对于同种业务的用户,让他们分时地使用同一信道,以缩小各用户平均传输速率的差距.例如,在奇数时隙,用户A使用子信道C1,用户B使用子信道C2;而偶数时隙,用户A使用C2,用户B使用C1.对于不同业务的用户,这种不公平性也许却是SDMA系统的优点之一:用高速率信道传输宽带业务(如图像),用低速率信道传输窄带业务(如话音),并且系统很自然地将这些业务结合在一起,因此这将适于传输多媒体信号.
事实上,接近于正交(或准正交)的扩频序列族中的序列个数比较少,所以当信道容量一定时,采用这种扩频序列的CDMA系统的容量也就相应较小[9].在实际CDMA系统中,为了增加系统容量,通常采用数目较多的非正交扩频序列,但这样会直接导致远近效应(near-far problem)的存在,严重影响系统性能.而在SDMA系统中,当确定了基小波w后,由它所构成的小波函数族从理论上讲是正交的,并且可用的扩频函数也较多(因为它能从频域或时域上保证其正交性),因此可以较好地抑制远近效应,从而降低接收机的复杂性.
SDMA扩频系统的性能与所选的基小波w有密切关系,可以用分析滤波器组的编码增益Gs来衡量.这里
(14)
式中σ2i是第i个分析滤波器输出的方差,K是小波分解的层数.在综合/分析滤波器长度为L(即正交小波的支撑长度,且为偶数)和给定信号谱密度P(ω)的情况下,保证系统性能最佳的最优小波的选择,就归结为在
维空间的闭集中,寻找使Gs达到极大值的最优点.图6(a)、(b)分别给出了信号谱密度为均匀分布和截断Laplace分布的部分数值计算结果.

(a)均匀分布,
(b)截断Laplace分布,p(ω)=e-c|ω|cos(ω/2)
图6 Gs在不同信息谱密度下的局部最优结果(L=6)
在图6的数值分析中,采用局部最优搜索结果近似代替全局最优值,因为目前尚没有一种完善的求解全局最优结果的算法.另外,当信号的谱密度比较复杂时,搜索最优结果的复杂度也相应增加.
五、结 论
小波分析理论已经在图像处理,信号检测等通信领域获得了广泛应用.这里,讨论了基于小波的扩频通信原理,提出了一种多速率调制解调模型,并给出了在AWGN信道中系统的性能仿真结果.通过分析,说明SDMA系统具有较好的抗窄带噪声性能及保密性,能较好地适于多媒体业务.为了使系统具有较强保密性,就要求发送信号的功率谱中没有明显尖峰(即使能量在频带内尽量均匀分布),而基小波w的谱结构决定了发送信号的谱结构,因此如何选择w以满足上述要求还需进一步研究;如何设计正交镜像滤波器(PR-QMF)也是一个重要课题;两用户以上的SDMA系统的性能还待进一步探讨.
欢迎分享,转载请注明来源:内存溢出
微信扫一扫
支付宝扫一扫
评论列表(0条)