
磁放大器稳压器中控制电感的设计
摘要:介绍了磁放大器稳压器的工作原理,推导了其中控制电感的设计方法,并给出了一个设计实例。
关键词:磁放大器稳压器;控制电感;复位
1引言
随着电子技术的发展,电子产品和系统的供电电源越来越复杂:供电电源的电压路数增多;每一路电压的稳压精度要求越来越高。一般的开关稳压电源,只有一个次级输出电压是通过初级电压进行闭环调节的,其它的次级输出电压都保持开环状态。这些输出电压的动态特性由负载以及初级输入电压所决定。要控制彼此独立的、不同的各路输出电压,就要运用不同的调节原理。高频磁放大器稳压器以其低成本、高效率、高稳压精度而又可靠的解决方案,在多路输出的稳压电源中得到了广泛应用。
目前的高频磁放大器稳压器的输出功率范围介于20W到1500W,输出电流范围介于1A到30A,输出电压可低到3?3V,2?9V,完全可适应现在低工作电压的半导体器件的需要。
2高频磁放大器稳压器工作原理
磁放大器稳压器是通过调节主变压器次级侧的脉冲宽度来达到输出稳压的目的。一个典型的正激变换器的二次侧磁放大器稳压器的原理图如图1所示。

由图2可见,当磁芯工作于点①时,磁芯饱和,控制电感的阻抗|Z|接近于0,控制电感器相当于短路。当磁芯工作于点②时,磁芯处于复位状态。复位(Reset)是指磁通到达饱和后的去磁过程,使磁通或磁密回到原来工作点的数值,称为磁通复位。由于磁放大器稳压器所用磁芯材料的特点(良好的矩形B?H回线及高的磁导率)以及开关电源工作于高频(100kHz左右),使得此时的控制电感对输入脉冲呈现高阻抗,相当于控制电感开路。实际上,饱和和复位时控制电感的阻抗可达到3~4个数量级的快速变化。图3示出了当磁芯材料为钴基非晶态合金时,绕组电感L随直流控制电流Ide的变动而变化的特性。因此,控制电感相当于一只“可控磁开关”,其输入脉冲电压由开关电源高频变压器副边供给,正半周脉冲前沿时间由初级主开关导通时间决定,脉冲幅值为u1。正半周期D1,D3截止,D2正偏,能量经过控制电感L1传输给负载,负半周期D2截止,复位电压(也是控制电压)Uc使D1导通,磁芯去磁。

图4表示了稳压器的工作情况。假定输出电压UO1为3V,输入脉冲幅值u1为10V,占空比为50%,脉冲周期为20μs。
设在t=0时刻以前,由于控制电感L1饱和,u3为+10V;在t=0时,u1变负,设 Uc=-6V,前半周期0~10μs内,u1一直保持-10V,在这一段时间内,控制电感一直处于复位区?,其特性可用?的面积SA(伏秒积数)表示:SA=4×10=40Vμs
在这一段时间内,控制电感L1作为一个高阻抗的电感,阻止电流流过它,保持u2=0,直到t=10μs时。
当t=10μs时,u1变为+10V,使控制电感进入饱和状态区?。这一时间间隔为4μs,它与+10V的乘积SB等于SA,即:
SB=10×4=40Vμs
因此有UO1=u1Ton/T=10×(6/20)=3V(DC)
图1电路的各点波形如图5所示。
3磁放大控制电感的设计
磁放大器稳压器的设计包括控制电感的设计和控制电路的设计,本文只给出控制电流(复位电流)的设计计算结果,控制电路的拓扑选择及详细的设计计算,请参阅参考文献[1][2][3]。
控制电感的设计是根据稳压器的外部要求,求出合适的磁芯型号及绕组参数。
本文的设计计算以VITROVAC6025Z磁芯为基础进行。
VITROVAC6025Z环形磁芯采用德国VAC公司为高频磁放大器稳压器的控制电感研制的专用带状非晶共基合金材料,由环形带绕制的磁芯加有塑料保持外罩,可在其上直接绕线。
VITROVAC6025Z磁芯的典型磁特性和型号分别如表1和表2所示。

在控制电感的设计中,一般给定的条件有:
——电路拓扑:单端正激式或推挽式(含半桥、全桥式);
——输出电压U1;
——主电路压降;
——输出有或没有短路保护。
设计结果:
——磁芯有效截面积AFe,选定磁芯型号;


——绕组匝数N;
——铜线直径dcu;
——缠绕面积Acu。
设计过程要予以考虑的因素:
——磁放大器控制电路的压降(即控制电感上的压降)UReg;
——磁芯损耗(铁损PFe);
——铜损耗PCu;
——控制电感的最大死区。
根据上面的提示,一般的设计步骤如下:
1)决定线匝铜线的尺寸由输出电流的大小决定,一般选电流密度为J≈4A/mm2;
2)计算控制电感的控制电压UReg。
对于无短路保护的电路:
UReg=α×Dmax×Umin-UO1(1)
式中:UO1——要求的输出电压(V);
Umin——次级绕组电压幅值的最小值(V);
Dmax——初级开关管占空比的最大值;
α——系数,对单端正激变换器α=1,对推挽式变换器(含半桥、全桥)α=2。
对于有短路保护要求的电路,则有:
UReg=α×Dmax×Umin(2)
(请读者注意,磁放大器稳压器不适用于反激式变换器)。
3)根据经验,从表2中选一种磁芯型号,查找AFe等参数磁芯的选择一般从小到大,直到所要求的匝数很容易缠满磁芯一层为止。
4)计算所需的匝数N
式中:f——次级输出方波的频率(kHz);
yes"> Δ B——双极磁通密度,取0.8T;
K——双极磁通密度ΔB的校正因子,用于限制由于磁芯损耗引起的温升。
图6示出了VITROVAC6025Z中相关型号校正因子K的相关曲线。
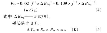
5)磁芯及铜损耗计算
磁芯损耗PFe(近似值)
式中:Rth——对流的空芯绕组的热阻(K/W);
mFe——磁芯质量(kg)。
铜损耗PCu(近似值,未考虑趋肤及邻近效应)
式中:LFe——磁芯的平均磁路长度(cm);
Hs——复位场强(mA/cm)。
在式(1)、式(2)中,Umin是作为已知参数给出的。实际设计中,主变压器和控制电感要同时设计,这时可将两者结合进行,这就要用到下面的递归过程,同时得到Umin及控制电感的最佳参数。
递归时采用的电路拓扑参数如图7所示。
递归流程图如图8所示。
4设计实例
给定条件单向正激变换器,次级绕组输出电压幅值Umin=12V,开关频率f=150kHz,初级占空比Dmax=0.5,输出电流I1=10A,UO1=3.3V。
在下面的计算中,采用SI单位制,为了计算方便,将其中的基本单位m改为cm。


1)所要求的每条线的截面积计算S(J取4A/mm2)
——无短路保护S=10/4=2.5mm2;
——有短路保护S=10/4=2.5mm2。
2)磁放大器控制电感电压计算
——无短路保护UReg=α×Dmax×Umin-UO1=1×0.5×12-3.3=2.7V;
——有短路保护UReg=α×Dmax×Umin=1×0.5×12=6V。
3)绕组匝数计算
①第一次计算
——无短路保护选用磁芯T60006?E4008?W462d1×d2×h1=8mm×4.6mm×4mm
AFe=0.054cm2
LFe=1.98cm
K=1
最小匝数
根据表2,所适用的铜线缠绕面积Acu约为2mm2,因此不可能缠绕面积2?5mm2的铜线5匝。
——有短路保护选用磁芯T60006?E4012?W535d1×d2×h1=12.5mm×10mm×5mm
AFe=0.05cm2
LFe=3.53cm
K=1
最小匝数
②第二次计算
——无短路保护选用磁芯T60006?E4012?W535d1×d2×h1=12.5mm×10mm×5mm
AFe=0.05cm2
LFe=3.53cm
K=1
最小匝数
根据表2,所适用的铜线缠绕面积Acu约为14mm2,可以使用此磁芯开始进行调试。 ——有短路保护选用磁芯T60006?E4017?W537d1×d2×h1=17.5mm×12.5mm×6mm
AFe=0.12cm2
LFe=4.71cm
K=0.6
最小匝数
根据表2,所适用的铜线缠绕面积Acu约为23.1mm2,可以使用此磁芯开始进行调试。 4)所需控制电流计算


5结语
高频磁放大器稳压器中,采用饱和电感作为调控元件,由于它的非线性特性,再加上主变压器次级绕组,两个磁性元件互相牵制,使稳压器的设计增加了难度。工程实际中,设计出的数据必须经过实际电路的调试,下面的经验对设计者会有帮助。
如果UO1开路或短路状态时,磁放大器控制电感太热,那么过热的原因是铁磁损耗,解决的办法是加大磁芯截面积AFe或增加匝数N。
如果在UO1满载工作时,磁放大器控制电感过热,那么过热的原因是铜损太高。解决的办法是增加铜线直径或选用更大缠绕面积和Acu的磁芯。
主变压器次级电压过高会引起过高的满载工作损耗。这时最好采用图8的递归过程对主变压器及控制电感进行优化。参考文献
[1]路秋生.高频磁放大器稳压电源设计[J].电源世界,1998.11:21~34.
[2]蔡宣三.开关电源中的磁放大器式输出电压调节器[J].电源世界,2001.3:1~6.
[3]BobMammano.MagneTIcAmplifierControlforSimple,Low?cost,SecondaryRegulaTIon,UnitrodeSEM500
[4]CoresandComponents.Databook2000,VAC.
欢迎分享,转载请注明来源:内存溢出
微信扫一扫
支付宝扫一扫
评论列表(0条)