
文氏桥电路是一个非常经典的电路,历经多年,尽管存在一些缺点,但仍然是教科书里面的必讲内容。从电路结构来看,并不复杂,但是这里面隐含的知识点却很多,涉及的内容也比较广泛,有信号与系统的知识,还要用到一点复变函数的知识,还涉及到相位的概念。因此,值得把这个电路仔细研究一下。
知识铺垫
▶什么是文氏桥振荡?

图1
如图1所示,左边是文氏桥的电路连接形式,右边是仿真的结果,从示波器显示的结果,发现一个1.54KHz的正弦信号从无到有,就这么神奇的产生了,而且信号增大到一定幅值自动稳定下来。
我们都知道,能量是守恒的,不可能凭空产生一个信号,而这个电路没有任何输入的信号源,那这个正弦信号的能量来自哪里呢?答案是运放的供电电源。那这个电路之所以会产生这个信号,是由于自激振荡的结果。
▶怎样才能让运放电路发生自激振荡呢?
一个闭环的反馈系统可以按照下面的结构图来描述,如图2所示。

图2
A可以理解为正向通路系统函数,F为反馈通路系统函数,Xi为输入量。按照图2中所画,实际上引入的是负反馈,所以Xi’=Xi-Xf,Xo=AFXo。
我们知道,交流信号需要用幅值和相位才能描述全面,那要想实现一个信号的自激, 需要同时满足幅值和相位条件:
幅值条件。 |AF|略》1,因为即使是1.00001,无数个1.00001相乘最终也会是无穷大。
相位条件。 一个信号从原点出发经过系统(A、F)走一圈,再回到原点时,要保持和原来的信号相位一致,正弦信号的周期是360°;对于一个负反馈系统而言,由于负反馈本身就有180°的相位移动,所以需要附加±180°相移,才能使得信号与源信号同相。
而对于正反馈系统,只要不引入额外的相移,就可以保持和原信号同相。
还有一个隐含条件是Xi如果是0,那0放大多少倍都是0,无法自激。因此,系统中我们需要在一开始给入一个初始信号,无论这个信号有多小,终究会放大出一个幅值客观的信号。
进入正题
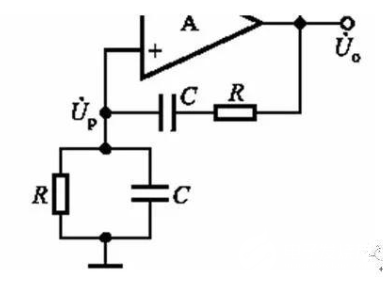
我们先看这个文氏桥振荡电路的下半部分(图3),从输出端反馈回来的信号接在的运放的同相端,实际上引入的是正反馈,也就是说只要保持在反馈回路中不引入额外的相移就可以了。

图3
但是在这个反馈回路当中,有电容的存在。我们都知道,电容实际上会贡献复数里面的虚部,一旦引入电容,不可避免的要引入相移,那这个正反馈的电路在这里是起到什么作用呢?
先把电路提取出来,整理一下,看的更清楚,如4所示。

图4
对这个电路仿真一下,得到下面的幅频特性曲线(图5)。不难看出这是一个带通滤波电路,再由于2个R和2个C的取值一致,所以这是一个单频点的选频器,中心频率是1/(2πRC)。而带通滤波一定是由高通滤波和低通滤波组成,低通滤波使得信号的相位发生滞后,高通滤波使得信号相位超前;且由于R、C相同,高通与低通的特征频率一致,使得这个信号的相位移了2次又回到原点了,所以这里完全是虚惊一场。

图5
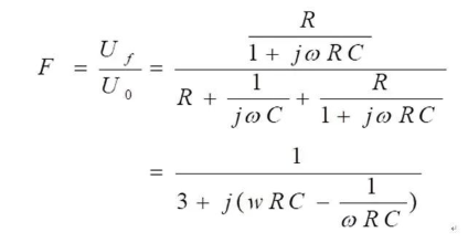
对于这个正反馈电路我们还得深入剖析,那最最根本的就是传递函数了,这里有我们想要的一切信息:

上面这个等式ω为角频率,这个式子要想取得最大值,需要让分母的模值最小,也就是分母的虚部为0。
令ωRC-1/(wRC)=0,求得ω=1/RC;再根据ω=2πf,推出f=1/(2πRC)时,整个正反馈电路的模值|F|最大为1/3。
这里其实也解释了为什么最终输出的信号频率是1.54kHz的问题,是根据1/(2πRC)算出来的,也只有这个频率的信号经过反馈电路时幅值最大,而且没有相位移动,那你要想改变输出信号的频率,就去改R和C的值就好了。
上面我们一直再说的是系统中的F,下面来说A,来看上半部分电路(图6):

图6
这个电路我们简直再熟悉不过了,这就是一个典型的同相放大器,放大倍数为:A=(1+Rf/R1)。
这里Rf与R1是不是随便取的呢?答案是否定的。因为上文已经知道|F|=1/3;要保证|AF|》=1,|A|必须》=3;根据A=(1+RF/R1),推出(Rf/R1)》=2。
在一开始起振的时候,我们需要让它Rf略》2R1,当信号达到一定幅度的时候,我们不想让它继续增加,需要让Rf=2R1,因为这个时候|AF|=1,无数个1相乘,最终也是1,所以就稳定下来了。
那问题又来了,怎么能让这个Rf自动发生变化,从而使得输出稳定下来呢?
答案是加入稳幅电路,可以在Rf回路上加入2个二极管,也可以用一个负温度系数的热敏电阻,随电流增加,温度升高,可以自动降低自身阻值。
最后一个问题,就是巧妇难为无米之炊,一开始我们需要把一个小信号给进去,这个小信号还要包含各种频率成分,才能在众多信号当中挑选出我们想要的进行自激放大;而在实际电路中,其实很容易获得,因为在我们的环境中,有各种频率的噪声,取之不尽用之不竭,所以这个就不用管了,它自己会进去的。
总 结
所以,一个系统要想实现自激振荡需要满足2个条件:

欢迎分享,转载请注明来源:内存溢出
微信扫一扫
支付宝扫一扫
评论列表(0条)