
数字语音驱鸟器阵列声场聚焦系统设计
引言
鸟类在人类生存环境的生态平衡中起着重要的作用,人类采取各种措施并制定法规对其进行保护,但是迅速增加的动物数量对农业生产形成严重危害,造成了农产品产量和质量的下降。据不完全统计,全国98%以上的果园遭受过鸟害,每年造成的直接经济损失高达7亿元之巨。
近年来,针对鸟害问题,国内外研究了一些驱赶害鸟的方法,主要是声音驱赶及形象驱赶。其中利用仿生学原理,采用一系列富有生物学意义的声音,如猛禽的叫声,鸟类遇难或报警叫声为控制手段的语音驱鸟装置,驱赶效果很好。本文采用数字语音驱鸟器阵列,通过波束形成方法实现声场聚焦,将驱赶声音链声场控制在期望区域,以达到良好驱鸟效果。
声场聚焦原理
目前,声场聚焦主要采用时间延迟(TD)和最大控制增益(MCG)两种方法实现。TD方法根据各扬声器单元到目标点处距离的差异所引入的时延差来调整各单元发射信号的相位,使目标点处的所有接收信号同相叠加以得到最大的声压强度,如图1所示。MCG方法不仅考虑到所有接收信号的时延差异,还考虑到其幅度衰落差异,通过调整阵元发射信号的幅度和相位,以实现目标点处的声场聚焦。

数字语音驱鸟器阵列系统设计
为了有效驱赶果园中的害鸟,设计了6路驱鸟器阵列系统。该系统对语音数字信号相位调整,进行加权处理。再经过数模转换,通过功率放大器驱动多路扬声器输出。

图2为数字语音驱鸟器阵列系统框图。现场中央控制器获取入侵害鸟的位置信息后,根据驱鸟器阵列扬声器布置位置信息计算出声音链的加权值,并通过串行总线将加权值信息传送给微控制器,由微控制器给出驱赶声音链的播放策略,调整阵列信号的相位,通过控制地址发生器和功放开关,将预先存储的数字声音链经DAC转换后进行播放,达到声场聚焦的目的。
声音链相位调整算法
假设数字声音链信号可表示为:

式中w为频率,A为幅值,j为相位偏移。权值,加权后数字声音链信号为:

根据正交调制的方法实现信号的幅相调整。已知权值:

对序列x[n]做IQ双路幅相调制可得:



其中
。加权后的数字信号可以由下式来计算:

驱鸟器阵列分布设计
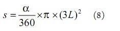
扬声器的安放位置应该能够使声场覆盖区内的任何位置,合理的扬声器位置设计能够有效地控制扬声器的声场分布和满足投射距离的声压级要求,也有利于形成声音聚焦区,达到更好的驱鸟效果。根据扬声器的最大供声距离L和指向角a,确定了单个播放器的有效覆盖面积:

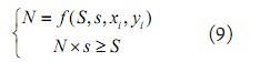
考虑到设备总成本最小化,而单个驱鸟器成本固定,则需要确定最小的扬声器数量。该值与防治区域总面积,单个扬声器有效面积及播放器空间分布紧密相关,从而建立目标函数关系式:

这里N为扬声器数量;S为防治区域总面积;s为单个扬声器有效面积;xi,yi为第i个扬声器在防治区域内坐标分布。对目标函数求解来获得理论上的位置分布情况,为实际驱鸟器阵列的布置提供基础参考。
驱鸟器阵列系统硬件实现
数字语音驱鸟器阵列系统由微控制器、地址发生器、存储器、DAC、功率放大器、扬声器组成。微控制器完成语音声音链的时延差计算、相位加权调整、播放及各模块同步控制。地址发生器由两个12位计算器组成,用于产生语音存储芯片的地址信号,地址发生器的计数时钟由微控制器提供。存储器中预先存储用于驱赶害鸟的数字语音信号。DAC转换器将数字语音信号转化为模拟信号,经功率放大器放大后,驱动扬声器阵列工作。微控制器选用Microchip公司的PIC18F6527,该控制器接口模块丰富,可以满足系统的功能要求。语音存储器为AMD公司的AM29F032B,容量为32Mbit,存储处理好的驱赶声音数字信号。DAC采用8位的AD557,实现数模转换。后级功率放大器为NaTIonal Semiconductor公司的LM4950,可驱动7.5W的扬声器。由于整个硬件系统采用低功耗、模块化设计,具有休眠功能,系统使用方便,维护简单。目前,该系统已完成实验室调试。
结语
为了提高语音驱鸟器驱赶害鸟的效果,本文给出了数字语音驱鸟器阵列系统设计和声音链声场聚焦实现方法,并详细说明了硬件电路的实现。通过调整数字声音链阵列声源相位实现了声场聚焦,室内实验取得了较好的效果。由于果园现场周围情况复杂,下一步的现场使用还有大量工作要做。
欢迎分享,转载请注明来源:内存溢出
微信扫一扫
支付宝扫一扫
评论列表(0条)