
一种将class="superseo">OTA-C电路转换为CFA-RC电路的方法—替换法
本文介绍了一种直接将基于跨导-C的电路(OTA-C电路)转换成基于电流反馈放大器CFA的电路(CFA-RC电路)的方法——替换法,给出了CFA-RC电路的设计表格.设计实例和实验结果证明了这种转换方法的正确性.
关键词:有源电路;电路理论和设计;电流模式;转换方法
The Replacement Method——a Circuit TransformaTIon Method from OTA-C Circuit to CFA-RC Circuit
YANG Zhi-min
(Department of Physics,Northwest Normal University,Lanzhou 730070,China)
Abstract:A novel design method called“the replacement method”is proposed in the paper.The method can transform OTA-C circuits into CFA-RC based circuits simply and directly.A design table is given to simplify the design.Design example and experimental results show the validity and advantages of the method.
Key words:acTIve filter;circuit theory and design;current mode;transformaTIon method
一、引 言
运算放大器是模拟电路设计中的基本有源器件.但普通运算放大器组成的电路其工作频率较低[1].跨导运算放大器OTA的出现使有源电路的工作频率提高了一步.由它组成的电路还可以实现电路的在线调节.目前,商业化的OTA器件已很成熟,研究出的有价值的实际应用电路也很多.
电流反馈放大器CFA是一种结构全新的运算放大器.它不但能提供近乎常值的带宽,而且还具有高的转换速率.由它组成的电路,在频率特性、动态范围等方面都比由OTA组成的电路具有更优良的性能.但是到目前为止,对这方面的电路研究的还不多.因此,有必要找到一种直接将OTA-C电路转换成基于CFA电路的方法,以便充分利用OTA电路现有的研究成果和电路资源,实现比OTA电路性能更优越的CFA电路.文献[2]提出了一种能将基于OTA的电路转换成基于CFA电路的系统方法.本文提出一种更直接的转换方法——替换法.这种方法不但更直接、更简便,而且还可以将一种OTA-C电路转换成多种相同功能的CFA电路,即转换生成的电路具有多样性,这就为电路的优化提供了可能性.
二、由OTA及CFA组成的基本电路之间的转换
表1给出了由OTA和CFA构成的基本单元电路之间的转换关系.现将一些主要电路分述如下.
表1

电流反馈放大器可等效于一个正电流传送器CCⅡ+和一个单位增益电压缓冲器的级联[3].其特性可描述为
Vx=Vy,Iz=Ix,Vo=Vz (1)
将OTA的特性方程Io=Gm(VA-VB)和式(1)比较可知,表1中①号电路所示的OTA器件应转换为表中⑨号电路所示的CFA电路.
2.积分器
表1中的③号电路是一个由OTA组成的无耗积分器,与之对应的CFA无耗积分器如表中?B11?号电路所示.其输出为
(2)
与表1中④号电路对应的CFA阻尼积分器如表1中
号电路所示.其输出为
(3)
3.差动电压放大器
表1中⑤号电路是一个由OTA构成的差动电压放大器.表中
号电路是由CFA构成的差动放大器.其输出为
(4)
4.电压相加器
表1中⑦号电路是由OTA构成的电压相加器.与之等效的CFA电压相加器如表中
号电路所示.其输出为
(5)
当R1=R2时,实现VA和VB的直接相加.当R1≠R2时,实现加权相加.
三、替换法及其优点
根据表1中的对应关系,采用等效替换的方法,可以很方便地将基于OTA的电路直接转换成基于CFA的电路.转换的具体方法和步骤是:(1)将欲转换的OTA-C电路划分为表1中所示的单元电路.对于OTA-C电路而言,不管其复杂程度如何,其基本型式总是积分器驱动积分器的型式[3].因此,总可以划分为表1中所示的单元电路的组合.(2)按照表1中的对应关系,将OTA-C电路中的单元电路逐一替换成对应的CFA单元电路,并保持原单元电路之间的连接关系不变,即可得到与原电路功能相同的CFA-RC电路.这种转换方法称为替换法.(3)由于替换法进行的是等效替换,因此,转换前后的电路具有相同的传递函数.
值得注意的是,由于OTA-C电路的基本型式是积分器驱动积分器的型式,这就意味着电路中的有些电容既与一个OTA的输入端相连,又与另一个OTA的输出端相连,从而在将原OTA-C电路划分为单元电路时具有一定的灵活性.既可以将这些电容划归到OTA的输入端,也可以将它们划归到OTA的输出端.而这种不同的划分,就有可能将同一电路转换为几种不同形式而具有相同传递函数的CFA电路.从而为电路的优选和多种形式的实现提供了可能.
四、转换实例及实验结果
图1所示电路是文献[2]中的三输入端滤波器.应用替换法并根据积分电容C2的不同划分(如图中虚线和点划线所示),可以将该电路转换为两种基于CFA的电路,分别如图2(a)、(b)所示.

图1 被转换的电路

图2 转换产生的电路
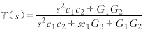
在图1和图2中,当VA=VC=Vin、VB=0时,是一个陷波电路.其传递函数为
(6)
实验中,CFA采用通用电流放大器AD844,并取G1=s/995,G2=s/996,G3=1ms,c1=1nF,c2=9.85nF.测得图2(a)电路的幅频特性如图3所示.图中,实验结果与理论值符合较好,证明了替换法的正确性.二者的误差主要是由于元件值的偏差和CFA的非理想特性所致.

图3 实验结果
五、结 论
本文提出了一种直接将OTA-C电路转换为CFA-RC电路的新方法——替换法,提出了与OTA-C单元电路对应的CFA-RC单元电路,并以表格的形式给出了两种电路等效转换的关系.从而简化了CFA电路的设计.文中还进行了设计和实验.设计实例和实验结果证明了替换法的正确性及其优点.
欢迎分享,转载请注明来源:内存溢出
微信扫一扫
支付宝扫一扫
评论列表(0条)