
一种热电阻阻值测量的新方法
摘 要:在利用热电阻测量温度中,热电阻阻值的精确测量是精确测量温度的关键,针对传统热电阻阻值的测量的不足,提出了新颖的热电阻阻值测量方法,以AT89C51单片机为核心,仅用较少外围资源就可以实现,结构简单,性能可靠,测量精度高。
关键词:热电阻 测量 单片机
1 引言
温度的测量在生产、生活中有着广泛的应用,热电阻传感器以其温度测量特性稳定,复现行好,测量精度高,测量范围大等优良性能受到青睐。传统的热电阻测量电路[1]有以下几种:一是二线制单臂电桥法,电桥的输出电压反映了温度的变化,但是,由于热电阻自身阻值较小,当引线较长时,引线电阻引起的误差就不能忽略。二是三线制单臂电桥法,虽然能够解决引线电阻引起的误差,但测量范围窄。三是四线制单臂电桥法,可以无需考虑热电阻的非线性造成的测量误差,并利用恒流源在热电阻上产生的压降反映温度,但是一般测温现场难以满足四线制的要求。四是热电阻阻值电流转换法,将热电阻阻值转换成相应的电流,以利于信号的传输,然而,对于精确的温度测量仍然存在引线电阻引起的误差,且性价比低。为此,提出了一种热电阻阻值测量的新方法,并以AT89C51单片机[2][3]为主机,配以较少的电阻,电容等元件组成测量系统,实践证明方法准确、有效。
2 测量原理[4]
测量电路如图1,其中Rt为待测的热电阻阻值,Rl为引线的等效电阻,Rc为标准精密电阻,Rd为电容放电电阻。测量原理如下:

第一步,P1.0、P1.1、P1.3为输入状态,P1.2为输出状态,输出的高电平V1通过Rl、Rt、Rl对电容C充电,则电容C上的电压Uc(t),按下式变化,即
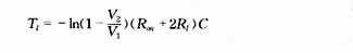
经历Tt过渡时间,Uc(t)达到P1.3的输入高电平阀值电压V2,P1.3的输入状态由低电平过渡为高电平状态,且过渡时间Tt可由(1)式求得,即
?将P1.3置为低电平状态,电容C通过Rd放电。
第二步,P1.0、P1.2、P1.3为输入状态,P1.1为输出状态,输出的高电平V1通过Rc、Rl、Rl对电容C充电,经历Tc过渡时间,Uc(t)达到P1.3的输入高电平阀值电压V2,P1,3的输入状态由低电平过渡为高电平状态,且过渡时间Tc可由(3)式求得,即
将P1.3置为低电平状态,电容C通过Rd放电。
? 第三步,P1.1、P1.2、P1.3为输入状态,P1.0为输出状态,输出的高电平V1通过Rl、Rl对电容C充电,经历T1过渡时间,Uc(t)达到P1.3的输入高电平阀值电压V2,P1.3的输入状态由低电平过渡为高电平状态,且过渡时间T1可由(4)式求得,即
将P1.3置为低电平状态,电容C通过Rd放电。
将(2)式除以(4)式得
因为Rc为已知,只要测量出Tt、Tc、Tl便可由(7)式计算出被测热电阻Rt的阻值,单片机程序在通过计算或查表的方法,将热电阻的阻值转换成相应的温度值,当Rc选精密电阻,并且单片机时间测量精度高时,使用该测量方法可达到较高的测量精度。
3 测量原理的改进
上述原理分析中,单片机输出的高电平V1和输入高电平的阀值电压V2,在三个步骤中的变化将影响测量精度,为此测量电路进行如图2的改进。

其中CD4502为CMOS模拟开关,它的导通电阻、切换速度与其供电电压有关,但对同一芯片,具有同一性,可设模拟开关的导通电阻为Ron,这样使每一步对电容充电的电压,相一致为Vcc用放大器OP-07实现比较器,比较器的正输入端反映电容的充电电压,负输入端接标准稳压电源LM385-2.5,使输入高电平的阀值电压稳定在Vd,通过以上措施克服了原有测量电路的不足,具体测量原理如下:
第一步,P1.4置为“l”状态,并使P1.2、P1.3均为“1”状态,则CD4502的Y-Y3接通,对电容放电,放电完成后,比较器的“+”输入端电压将低于“-”输入端电压,比较器发生翻转,P1.5为低电平,将P1.2、P1.3均为“0”状态,则CD4502的X-X0接通,电压Vcc通过电阻Ron、Rl、Rl对电容充电,经历Tl过渡时间,Uc(t)达到比较器的翻转电压,且过渡时间T?l可由(8)式求得,即
(8)
将P1.2、P1.3均为“1”状态,CD4502的Y-Y3接通,对电容放电。
第二步,P1.2、P1.3分别设为“0”、“1”状态,则CD4502的X-X1接通,电压Vcc,通过电阻Ron、Rc、Rl、Rl对电容充电,经历Tc过渡时间,Uc(t)达到比较器的翻转电压,且过渡时间T?c可由(9)式求得,即
将P1.2、P1.3均为“l”状态,CD4502的Y-Y3接通,对电容放电。
第三步,P1.2、P1.3分别设为“1”、“0”状态,则CD4502的X-X2接通,电压Vcc通过电阻Ron、Rl、Rt、Rl、对电容充电,经历Tt过渡时间,Uc(t)达到比较器的翻转电压,且过渡时间T?t可由(10)式求得,即
将P1.2、P1.3均为“1”状态,CD4502的Y-Y3接通,对电容放电。
由式(8)、(9)、(10)可得到如式(7)的热电阻阻值表达式,此表达式可以转化成下式:
由式(11)可以看出,由于系统参数己固定,Tt、Tc、Tl如有误差,误差应具有相同的方向,即同时具有正向误差,或负向误差,通过Tt-Tl,Tc-Tl可消除系统误差,这一特点有利于提高测量精度。
4 参数的选择
由式(2)可知,Tt的大小取决于电阻Rt、电容C,在单片机的计数器不溢出的基础上,Tt的数值越大,测量精度越高,一般情况下,Rc应近似取被测电阻最大值的一半,电容C按下式选择:
其中Tt:计数器溢出时间,与单片机的时钟频率及定时器的位数有关;?
Rmax:被测电阻的最大值;?
如果采用Pt100做温度传感器,温度测量范围为-200~850℃,对应的阻值为18.49~390.26Ω、考虑到其他电阻的影响,取Rmax为1K(Rt+Rc+2Rl),则Rc为500Ω、Vcc为5V、VD为2.5V。
单片机AT89C51的时钟频率为16MHz、定时器的分辨率为16位,则T计数范围为65535对应的计数时间为1us*65535us,由式(12)知:C<94.5uf、取90uf、则其灵敏度K(个数/Ω)为:
5 系统实现
采用AT89C51为核心,X25045存储相关定值,另外X25045具有WATCHDOG功能,可防止程序的“飞车”,提高了系统的抗干扰能力,通过标准的RS232串行接口实现与远方的数据通讯,键盘显示部分实现人机接口,开出部分实现报警和相应的控制,组成系统框图如下:

6 结论
利用电容冲放电原理实现的热电阻测量电路,设计合理,结构简单,符合现场测温的实际情况,经现场实践表明,运行准确,可靠。
参考文献:
[1]郝芸.传感器原理与应用[M].电子工业出版社,2002,第一版
[2]何立民.单片机应用设计[M].北京航空航天大学出版社,1996,第一版
[3]李华.MCS-51系列单片机实用接口技术[M].北京航空航天大学出版社,1993,第一版
[4]何立民.单片机应用技术选编(8)[M].北京航空航天大学出版社,2000,第一版
欢迎分享,转载请注明来源:内存溢出
微信扫一扫
支付宝扫一扫
评论列表(0条)