
引言
Reed-Solomon码首先是由Reed和Solomon两人于1960年提出来的,简称为RS码。这是一类具有很强纠错能力的多进制BCH码,既能纠正随机错误,也能纠正突发错误,也是一类典型的代数几何码。RS码一直以来都是国际通信领域研究的热点之一。
本文以战术军用通信系统的首选码RS(31,15)码为例,对生成多项式进行了优化,并采用查表法的原理极大地提高了编码器运算数据的能力,缩短了运算周期,最终利用VHDL语言编译,在FPGA中实现,得到了正确的RS编译码。
1 RS编码原理
能纠正t个错误的RS(n,k)码具有如下特性:
码长:n=2m-1符号或m(2m-1)比特;信息码元数:k=n-2t符号或mk比特;监督码元数:n-k=2t符号或m(n-k)比特;最小距离:d=2t+1=n-k-1符号或m(n-k+1)比特;最小距离为d的本原RS码的生成多项式一般为:

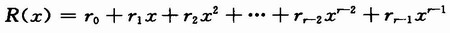
令信息元多项式为:

监督多项式为:

则码多项式为:

式中:Q(x)是g(x)整除C(x)所得的商式。所有这些原理都与二进制循环码一样,不同的仅在于运算方法。对于二进制码,码多项式各项系数只能取0或1,多项式的加减乘除是模二运算,是定义在GF(2)域上的多项式。现在码多项式各项系数可以取q=2m种不同的值,应当是定义在GF(2m)域上的多项式。
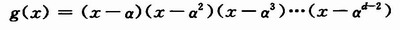
2 生成多项式的优化
以RS(31,15)为例,n=31,k=15,可纠正错误数为t=(n-k)/2=8;以

一般的生成多项式为:

则码字多项式以

由于注意到:


3 RS编码器的设计
在GF(2m)域上的加法运算实际上就是每位作异或运算,由异或门组合而成即可。
由于优化了生成多项式g(x),这里只需要在ROM中存入


由加法模块和乘法模块组成的一级模二运算电路如图1所示。

利用ISE9.0仿真软件得到的运算一级模二运算的仿真图如图2所示。

生成的一级模二运算模块如图3所示。
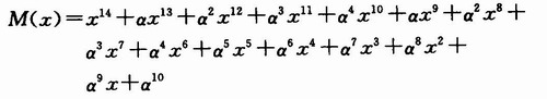
依次连接多个模二运算模块,进行一步步模二运算,得到余数多项式的系数,即为RS校验码。图4为当信息码字为M时的RS编译结果。

可看到此时:

4 FPGA实现
通过RS编码后的数据为5×31的矩阵,形如;

将5行数据交织编码,交织度为I=5,得到(ao bo co do eo a1 b1 c1 d1 e1…a30 b30 c30 d30 e30)的形式,利用示波器从串口读出,得到波形图如图5所示。

5 结语
给出的RS编码器设计方法对生成多项式进行了优化,使得ROM中需要存入的乘法表大幅减少,模拟模二运算的步骤设计编码过程,最终烧入FPGA中,利用示波器采集到了正确的数据,证明RS编码器编码正确。本文介绍的RS编码器设计方法简单,占用资源少。
欢迎分享,转载请注明来源:内存溢出
微信扫一扫
支付宝扫一扫
评论列表(0条)