
身为电子工程师,噪声和辐射无处不在,作为电子设计师必须掌握EMI电磁屏蔽相关知识,而这些知识和解决方案将广泛用于改善设备免于受到外部电磁干扰。
干扰辐射的来源
麦克斯韦方程显示,每当电流经流导体时,都会产生磁场,而磁场将会产生电场。电场和磁场的辐射特性被称之为辐射发射。 这些辐射发射将会在电路或整个印刷电路板(PCB)中引发一些问题。在理想电路之中,电路本身发射的信号只包括电流和电压,而在现实世界中,噪音是绕不开的问题。当电路信号受到任何干扰时,就会发生这种情况。 由于电磁信号的性质,并不能避免噪声的存在,但是可以大大降低其影响。 需要注意的是,设备在运行时不会受到其他设备的影响,正如设备不会受到其他设备影响一样,电磁敏感性是电路系统受到干扰仍然保持正常工作的能力。这种敏感性将取决于施加的噪声水平,而不同的应用诸如车载、医疗、军事等领域,拥有不同的程度磁化率。 每个电路、设备或系统都必须经过适当的设计,尽可能减少辐射水平,来达到只对高水平的电磁场敏感。
EMC认证
电磁兼容性(EMC)认证是任何产品上市必须经过的步骤,每个产品都必须通过EMC测试, 以确保安装时不会影响任何其他设备(例如辐射测试),并且即使周围存在其他系统(例如,敏感性测试)。
通常来说,电子设备都会安装在外壳内,金属外壳非常擅长限制电磁屏蔽,但相对来说并不完美。PCB和外壳之间的结合处会出现孔或槽,并且电磁场可以穿过它们,简言之EMI屏蔽就是要覆盖这些孔或槽。 此外,许多产品设计中存在一个普遍问题:仅在设计周期的最新阶段才去考虑EMC认证的问题,在此情况下,整体的设计就被冻结到了这个阶段,EMC工程师并没有空间去修改产品设计解决电磁相关的问题。因此,一整套的工具与生态,并无需再次修改PCB对于EMI屏蔽起着至关重要的作用。 小型化和高效能一直以来是电子产品发展的全球趋势,PCB具有越来越短的上升时间和越来越快的数字电路。上升时间越短,带宽越大,而在此同时波长则会越小。当电路中波长与PCB的物理尺寸相当时,就会出现一定问题。如果这些波长足够小,可能会到达外部并与其他设备产生干扰。 可以使用EMI屏蔽(即采用有助于覆盖这些小孔并改善机械外壳的法拉第笼效应的磁性材料)封闭这些开口。
计算EMI屏蔽效果和趋肤深度
无数种的EMI屏蔽拥有不同的材料和形状,但总的来说最终的目标都是限制电磁场。 屏蔽元件充当阻挡电磁辐射的屏障,事实上,这种屏蔽方式的过程拥有巨大的衰减,这将取决于电磁波和屏蔽元件的材料。 当波撞击屏蔽材料时,会生成两种新的波,包括反射波和透射波。因此,入射波的能量将分裂为这两种波。所传输的组件是关键的相关组件,波将穿过屏蔽材料而到达外面。屏蔽的有效性将决定其衰减该分量的能力。 趋肤深度是波在其幅度降低到1 / e之前可以传播的距离,该参数取决于材料磁导率,频率和电阻率的因素,可通过以下表达式近似表示:

注:σ 表示电导率,μ表示磁导率,F表示频率
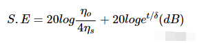
使用屏蔽材料的目的是在波通过后尽可能减小波的幅度。因此,选择合适的材料类型及其厚度t是极其重要的,以确保系统的所有频率都被衰减。 屏蔽材料在此任务中的表现如何,取决于屏蔽效果(S.E),如下所示:

注:第一项代表反射损耗,第二项代表吸收损耗。
EMI屏蔽的类型 EMI屏蔽类型将很大程度上取决于产品的类型、电磁要求和环境条件。最常见的EMI屏蔽如下:- EMI垫片- EMI屏蔽胶带- 金属夹- 屏蔽柜 EMI垫片 EMI垫片用于覆盖两个机械表面间不规则但又存在的微孔,这些垫片还可用来改善接地连接。它们具有粘性部分和许多轮廓,因此可以轻松地安装在不同类型的机械接头之中。
EMI屏蔽胶带 想要确保所有微孔都被盖住,但对于像EMI垫片之类的选件并没有太多垂直空间时,EMC胶带就是首选了。这些胶带的顶部具有高导电性的材料(例如镍或铜),另一侧具有粘合剂。
金属夹 任何设备都需要短而宽且直连的接地线,如果这项连接做不好,将会形成不需要的单极子,这将会产生辐射电磁场。金属夹改善了这种连接并加强了机械连接。 屏蔽柜 如CPU、存储IC和射频(RF)级之这类的干扰源来说,选择PCB层上利用屏蔽柜单独屏蔽是极佳的选择。
结论 所有电路均会发出电磁辐射,并且容易被其他电路辐射。获得将您的产品推向市场所需的认证可能是一个痛苦的测试过程。 各种形式和类型的EMI屏蔽都是解决EMI问题的基础。
责任编辑人:CC
欢迎分享,转载请注明来源:内存溢出
微信扫一扫
支付宝扫一扫
评论列表(0条)