
基于DSP数字振荡器的移相正弦波发生器设计
0 引 言
产生数字式移相信号的方法有很多。传统的直接数字频率合成(DDS)移相原理是先将正弦波信号数字化,并形成一张数据表存入两片ROM芯片中,此后可通过两片。D/A转换芯片在计数器的控制下连续地循环输出该数据表,就可获得两路正弦波信号。当两片D/A转换芯片所获得的数据序列完全相同时,则转换所得到的两路正弦波信号无相位差。当两片D/A转换芯片所获得的数据序列不同时,则转换所得到的两路正弦波信号就存在着相位差。相位差的值与数据表中数据的总个数及数据地址的偏移量有关。这种处理方式的实质是将数据地址的偏移量映射为信号间的相位值。数据的偏差可以通过外部微处理器来获得相应的数字量输入,这个数值对应着正弦信号的移相角度。直接频率合成方法具有频率转换时间短、相位噪声性能好、精度高,产生的信号频率范围宽等优点,但由于需要采用地址、相位计算、访问存储器 *** 作等环节,导致直接频率合成器结构复杂、成本高、移相分辨率低。本文利用DSP技术,通过数值迭代方法,即用DSP数字振荡器的实现原理获得两路正弦波信号。通过仿真,硬件实现,能得到设定参数的两路正弦波输出,达到了设计目的,并具有调整方便灵活、分辨率高等特点。数值迭代方法能精确计算角度的正弦值,只需较小的存储空间,选择正弦周期中的样点数、改变样点间的延迟,能产生不同频率的波形,可利用软件改变波形幅度及相位。
1 波形及移相波形发生器的DSP实现原理
利用DSP通过运算,用叠代的方法产生正弦信号,即数字振荡器。数字振荡器的单位冲击响应为sin(nωT+θ)·u(n)即系统在δ(n)的激励下,产生振荡,输出相位为θ的正弦序列,该系统的系统函数就是冲击响应的Z变换,即

则该系统所对应的差分方程为

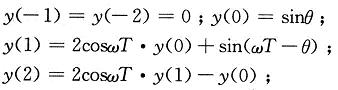
通过叠代可由差分方程求出系统的冲击响应。系统的输入为x(n)=δ(n),初始条件为零。则由差分方程可得:

当n≥3时有:y(n)=2cosωT·y(n-1)-y(n-2)。在n≥3以后,y(n)能用y(n-1)和y(n-2)算出,这是一个递归的差分方程。因此得到如下结论:只要已知系统输出正弦信号角频率ω和采样周期T就可以得到系统差分方程,系统只需每隔T秒时间计算一次差分方程,就可得到当前正弦采样序列y(n)的值。设定的y(1)、y(2)初值不同,初始相位就不同。在设计中,主程序通过键盘输入频率及相位差等数据,在初始化时依输出信号频率、采样速率及相位差等数据先计算出两路正弦信号的初始值y1(1)、y1(2)和y2(1)y2(2),然后开放定时器中断。以后每次进入定时器中断服务程序时,利用前面的y1(1)、y1(2)和y2(1)y2(2),计算出新的y1(0)和y2(0)。虽然两次计算并输出y1(0)和y2(0)有一定的延迟,但由于DSP的高速流水线运行及McBSP高速串行输出,所引起误差将很小。
2 系统硬件实现方案
基于TMS320VC5416 DSP的两路输出移相正弦波的系统结构如图1所示。该系统的中央处理单元采用美国TI(德州仪器)公司的高性能定点数字信号处理芯片TMS320VC5416,TMS 320 VC54.16是TI公司专门针对便携式设备设计的一款低功耗、高性能定点数字信号处理器,同C54系列其它处理器相比运行速度达到160MPIS,片内RAM达到128K,程序可寻址空间达到8M,为大量数据处理提供了丰富条件。特别是VC5416提供了多种片内外设资源;软件可编程等待状态产生器、可编程锁相环时钟产生器、1个16位计时器、6通道直接内存访问控制器(DMA)、3个多通道缓冲串口(McBSP)、8位增强型HPI接口等。此外,TMS320VC5416支持C和汇编语言混合编程,高效的流水线 *** 作和灵活的寻址方式使其特别适合高速实时信号处理。由于系统有两路正弦信号输出,系统采用两路信号分时传输方式。TLC320AD50C是TI公司出品的一块将A/D和D/A转换功能集成在一起的模拟接口芯片,采用∑-△技术在低系统成本下实现了高精度的A/D和D/A转换。该芯片由一对16 b同步串行转换通道组成,在ADC之后有一个抽取滤波器,在DAC之前有一个插值滤波器。TLC320AD50C支持主从两种工作方式,并且最多支持三个从设备。利用该特点,系统将两片TLC320AD50C串联,使其中一个为主设备另一个为从设备,通过TMS320VC5416的多通道缓冲串口McBSP实现与两片TLC320AD50C间的串行通信。TMS320VC54.16控制两片TLC320AD50C以时分复用方式将数据传送给两片TLC320AD50C进行D/A转换输出。其中AD50C1的M/S接高电平,AD50C2的M/S接低电平,并且利用VC5416的XF引脚为AD50C提供主、次通信选择信号。TLC320AD50被广泛应用于音频数据采集处理中,它可以与TMS320C54xDSP的McBSP无缝串行连接进行数据采集、存储和处理。SCLK输出时钟,DIN串行输入,DOUT串行输出,FS帧同步信号输出,对应DSP的各相应引脚。MCBSP具有特点:①串口的接收,发送时钟既可由外部设备提供,又可由内部时钟发生器提供;②帧同步信号和数据时钟信号的极性可编程,内部时钟和帧信号发生器也可由软件编程控制;③串口的信号发送和接收部分既可单独运行,又可以在一起配合工作;④CPU的中断信号和DMA的同步信号使得McBSP串口可由CPU控制运行,还可脱离CPU通过DMA直接存取内存单独运行;⑤多通道选择部分使得串口具备了多通道信号的通信能力,他的多通道接收和发送能力可达128个信道;⑥数据宽度可在8b、12b、16b、20b、24b、32b中任意选择,并可对数据进行A律和U律压缩和扩展。McBSP串口包括一个数据通道和一个控制通道,数据通道完成数据的发送和接收。McBSP通过DX引脚发送数据、DR引脚接收数据。控制通道完成的任务包括内部时钟的产生、帧同步信号的产生、对这些信号的控制以及多通路的选择等。控制通道还负责产生中断信号送往CPU,产生同步事件信号通知DMA控制器。控制信息则是通过控制通道以时钟和帧同步信号的形式传送。

3 系统软件设计及CCS仿真结果
系统软件主要由BootLoader下载程序、系统初始化、键盘显示、定时中断处理等几个模块构成。系统开始上电时首先执行BootLoader程序,将目标程序从外部FLASH中调入片内RAM中执行。
系统初始化程序完成对TMS320VC5416各控制寄存器,McBSP串口控制寄存器,定时器以及TLC320AD50C相应寄存器的初始化设置。主程序及定时中断服务程序流程图如图2所示。

设定正弦波频率为2 kHz,采样频率40 kHz,移相60度的CCS仿真波形如3所示。
4 结束语
本文提出了一种基于DSP数字振荡器产生移相正弦波的设计方法。实验结果表明系统产生的波形稳定,抗干扰能力强,频率、相位和幅度调节方便,精度高,输出频率范围为20 Hz~20 kHz,相移0~360°,移相分辨率可高达0.001度。另外系统若连接高速DA转换芯片,可大大提高输出频率范围。该设计方案简单可行、新颖实用,有推广应用价值。
欢迎分享,转载请注明来源:内存溢出
微信扫一扫
支付宝扫一扫
评论列表(0条)